电脑桌面
添加小米粒文库到电脑桌面
安装后可以在桌面快捷访问

美国联邦基金利率(每月)(19542010)

美国联邦基金利率(每月)(19542010)_第1页
1/13
美国联邦基金利率(每月)(19542010)_第2页
2/13
美国联邦基金利率(每月)(19542010)_第3页
3/13
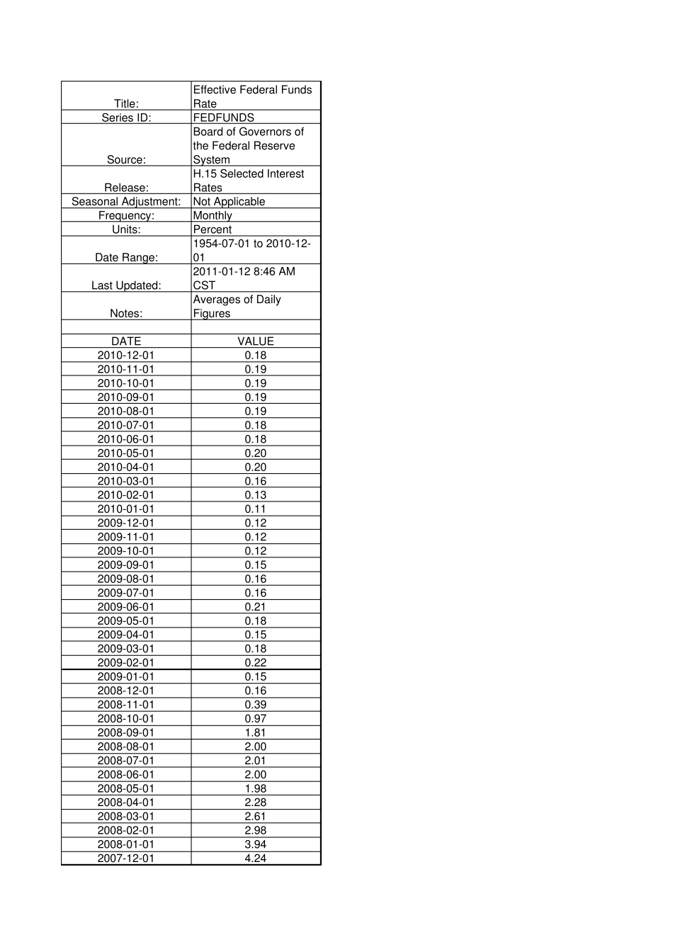
Title:Effective Federal FundsRateSeries ID:FEDFUNDSSource:Board of Governors ofthe Federal ReserveSystemRelease:H.15 Selected InterestRatesSeasonal Adjustment:Not ApplicableFrequency:MonthlyUnits:PercentDate Range:1954-07-01 to 2010-12-01Last Updated:2011-01-12 8:46 AMCSTNotes:Averages of DailyFiguresDATEVALUE2010-12-010.182010-11-010.192010-10-010.192010-09-010.192010-08-010.192010-07-010.182010-06-010.182010-05-010.202010-04-010.202010-03-010.162010-02-010.132010-01-010.112009-12-010.122009-11-010.122009-10-010.122009-09-010.152009-08-010.162009-07-010.162009-06-010.212009-05-010.182009-04-010.152009-03-010.182009-02-010.222009-01-010.152008-12-010.162008-11-010.392008-10-010.972008-09-011.812008-08-012.002008-07-012.012008-06-012.002008-05-011.982008-04-012.282008-03-012.612008-02-012.982008-01-013.942007-12-014.242 0 0 7 -1 1 -0 14 .4 92 0 0 7 -1 0 -0 14 .7 62 0 0 7 -0 9 -0 14 .9 42 0 0 7 -0 8 -0 15 .0 22 0 0 7 -0 7 -0 15 .2 62 0 0 7 -0 6 -0 15 .2 52 0 0 7 -0 5 -0 15 .2 52 0 0 7 -0 4 -0 15 .2 52 0 0 7 -0 3 -0 15 .2 62 0 0 7 -0 2 -0 15 .2 62 0 0 7 -0 1 -0 15 .2 52 0 0 6 -1 2 -0 15 .2 42 0 0 6 -1 1 -0 15 .2 52 0 0 6 -1 0 -0 15 .2 52 0 0 6 -0 9 -0 15 .2 52 0 0 6 -0 8 -0 15 .2 52 0 0 6 -0 7 -0 15 .2 42 0 0 6 -0 6 -0 14 .9 92 0 0 6 -0 5 -0 14 .9 42 0 0 6 -0 4 -0 14 .7 92 0 0 6 -0 3 -0 14 .5 92 0 0 6 -0 2 -0 14 .4 92 0 0 6 -0 1 -0 14 .2 92 0 0 5 -1 2 -0 14 .1 62 0 0 5 -1 1 -0 14 .0 02 0 0 5 -1 0 -0 13 .7 82 0 0 5 -0 9 -0 13 .6 22 0 0 5 -0 8 -0 13 .5 02 0 0 5 -0 7 -0 13 .2 62 0 0 5 -0 6 -0 13 .0 42 0 0 5 -0 5 -0 13 .0 02 0 0 5 -0 4 -0 12 .7 92 0 0 5 -0 3 -0 12 .6 32 0 0 5 -0 2 -0 12 .5 02 0 0 5 -0 1 -0 12 .2 82 0 0 4 -1 2 -0 12 ....

1、当您付费下载文档后,您只拥有了使用权限,并不意味着购买了版权,文档只能用于自身使用,不得用于其他商业用途(如 [转卖]进行直接盈利或[编辑后售卖]进行间接盈利)。
2、本站所有内容均由合作方或网友上传,本站不对文档的完整性、权威性及其观点立场正确性做任何保证或承诺!文档内容仅供研究参考,付费前请自行鉴别。
3、如文档内容存在违规,或者侵犯商业秘密、侵犯著作权等,请点击“违规举报”。

碎片内容

美国联邦基金利率(每月)(19542010)

您可能关注的文档

确认删除?
VIP
微信客服
  • 扫码咨询
会员Q群
  • 会员专属群点击这里加入QQ群
客服邮箱
回到顶部