电脑桌面
添加小米粒文库到电脑桌面
安装后可以在桌面快捷访问

第五章谐振腔VIP免费

第五章谐振腔_第1页
1/80
第五章谐振腔_第2页
2/80
第五章谐振腔_第3页
3/80
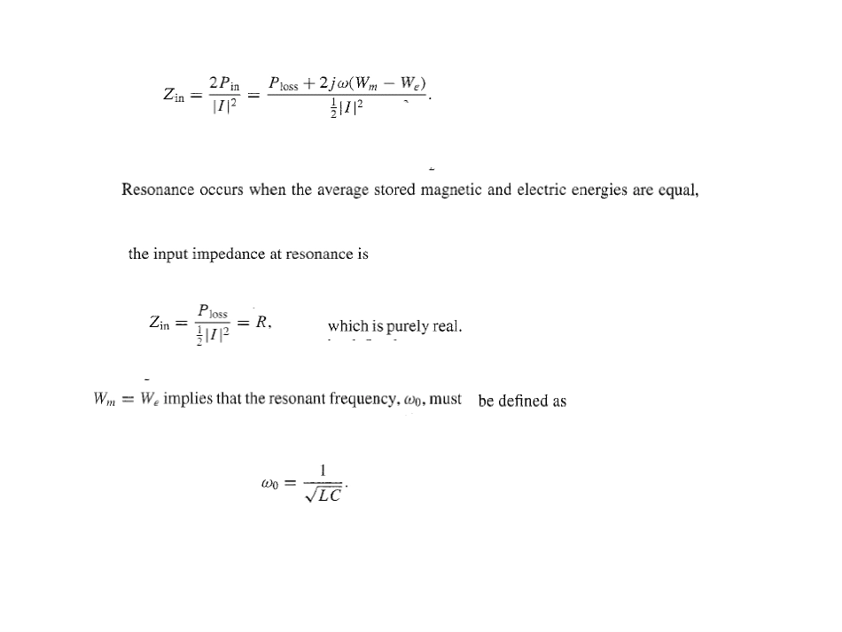
微波谐振器微波谐振器又称作微波谐振腔,它广泛应用于微波信号源、微波滤波器及波长计中。它相当于低频集中参数的LC谐振回路,是一种基本的微波元件。谐振腔是速调管、磁控管等微波电子管的重要组成部分。微波谐振器可由一段两端短路或两端开路的传输线段组成,电磁波在其上呈驻波分布,即电磁能量不能传输,只能来回振荡。因此,微波谐振器是具有储能与选频特性的微波元件。微波谐振器可以定性地看作是由集中参数LC谐振回路过渡而来的,如图所示。微波谐振器中电磁能量关系和集中参数LC谐振回路中能量关系有许多相似之处,如图。但微波谐振器和LC谐振回路也有许多不同之处。1、LC谐振回路的电场能量集中在电容器中,磁场能量集中在电感器,而微波谐振器是分布参数回路,电场能量和磁场能量是空间分布的;2、LC谐振回路只有一个谐振频率,而微波谐振器一般有无限多个谐振频率;微波谐振器可以集中较多的能量,且损耗较小,因此它的品质因数远大于LC集中参数回路的品质因数,另外,微波谐振器有不同的谐振模式(即谐振波型)。微波谐振器有两个基本参量:谐振频率f0(或谐振波长0)和品质因数Q。(一)谐振频率f0谐振频率f0是指谐振器中该模式的场量发生谐振时的频率,也经常用谐振波长0表示。它是描述谐振器中电磁能量振荡规律的参量。谐振频率可采用电纳法分析。在谐振时,谐振器内电场能量和磁场能量彼此相互转换,其谐振器内总的电纳为零。如果采用某种方法得到谐振器的等效电路,并将所有的等效电纳归算到同一个参考面上,则谐振时,此参考面上总的电纳为零,即Bf00利用上式便可以求得谐振频率。(二)、品质因数Q品质因数Q是微波谐振器的一个主要参量,它描述了谐振器选择性的优劣和能量损耗的大小,其定义为Q2谐振器内储存电磁能量一个周期内损耗的电磁能量谐振时00WPL式中W0为谐振器中的储能,PL为谐振器中的损耗功率。QRHdVHdSSVtS022QHdVHdSVtS222其它计算公式二、同轴谐振腔同轴谐振腔通常分为/2型、/4型及电容加载型三种。其工作特点简要介绍如下。(一)/2型同轴谐振腔/2型同轴谐振腔由两端短路的一段同轴线构成,如下图所示。谐振条件为~~BB120~~BB12由上式可导出谐振波长0与腔体长度l的关系为01222nlllnln02或Qbababa002118lnln/2型同轴谐振腔的品质因数为当(b/a)=3.6时,同轴腔的品质因数Q0达最大。(二)/4型同轴谐振腔谐振时应满足:~~BB12或谐振波长0与腔体长度l的关系为0421lnln2140由于这类同轴腔内导体长度为0/4的奇数倍,故称为四分之一波长型同轴谐振腔。/4型同轴谐振腔(三)电容加载型同轴谐振腔电容加载型同轴谐振腔如右图所示。谐振条件:满足谐振条件的C值由右式确定~~BB120000CYlctg2如果将缝隙电场近似看作均匀分布,则式中C可按平板电容公式计算CSdad0020为空气的介电常数,a为同轴腔内导体半径,d为缝隙宽度。四、矩形谐振腔矩形谐振腔是由一段两端短路的矩形波导构成,它的横截面尺寸为ab,长度为l,如下图所示。(一)谐振模式及其场分布矩形波导中传输的电磁波模式有TE模和TM模,相应谐振腔中同样有TE谐振模和TM谐振模,分别以TEmnp和TMmnp表示,其中下标m、n和p分别表示场分量沿波导宽壁、窄壁和腔长度方向上分布的驻波数。在众多谐振模中,TE101为最低谐振模。(二)谐振波长谐振条件与/2型同轴谐振腔相同,波导中传输的波是色散波。矩形谐振腔谐振波长计算公式022112cpl式中c为波导中相应模式的截止波长。此式也适用于圆柱谐振腔。对于矩形腔有02222manbplTE101模的谐振波长为它为最低谐振模。0222alal四、圆柱谐振腔圆柱谐振腔是由一段长度为l,两端短路的圆波导构成,其圆柱腔半径为R。圆柱腔中场分布分析方法和谐振波长的计算与矩形腔相同。特性:1.Q值高2.场沿角向无变化,无极化简并模式用途:(二)模式图对于圆柱腔TEmnp谐振模,有fDccpDlmn022222...

1、当您付费下载文档后,您只拥有了使用权限,并不意味着购买了版权,文档只能用于自身使用,不得用于其他商业用途(如 [转卖]进行直接盈利或[编辑后售卖]进行间接盈利)。
2、本站所有内容均由合作方或网友上传,本站不对文档的完整性、权威性及其观点立场正确性做任何保证或承诺!文档内容仅供研究参考,付费前请自行鉴别。
3、如文档内容存在违规,或者侵犯商业秘密、侵犯著作权等,请点击“违规举报”。

碎片内容

第五章谐振腔

静心书店+ 关注
实名认证
内容提供者

专注于各类考试试卷和真题。

确认删除?
VIP
微信客服
  • 扫码咨询
会员Q群
  • 会员专属群点击这里加入QQ群
客服邮箱
回到顶部