电脑桌面
添加小米粒文库到电脑桌面
安装后可以在桌面快捷访问

中国已批准使用的化妆品原料名称目录第一批

中国已批准使用的化妆品原料名称目录第一批_第1页
1/54
中国已批准使用的化妆品原料名称目录第一批_第2页
2/54
中国已批准使用的化妆品原料名称目录第一批_第3页
3/54
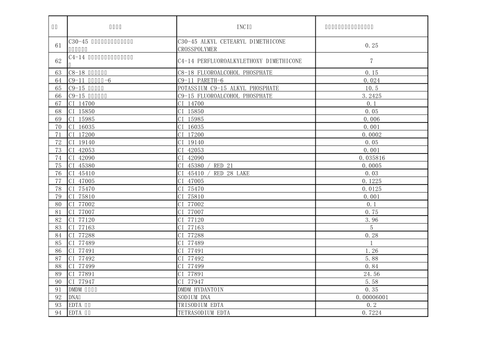
1(动物)胎盘蛋白质PLACENTAL PROTEIN0.00072(日用)香精FRAGRANCE13(神经)鞘脂类SPHINGOLIPIDS0.0000146541,2-己二醇1,2-HEXANEDIOL0.551,2-戊二醇PENTYLENE GLYCOL4.561,3-丙二醇PROPANEDIOL871,3-双-(2,4-二氨基苯氧基)丙烷 HCl1,3-BIS-(2,4-DIAMINOPHENOXY) PROPANE HCl0.3681,5-萘二酚(CI 76625)1,5-NAPHTHALENEDIOL0.25891-甲基乙内酰脲-2-酰亚胺1-METHYLHYDANTOIN-2-IMIDE0.5101-萘酚1-NAPHTHOL1111-羟乙基-4,5-二氨基吡唑硫酸盐1-HYDROXYETHYL 4,5-DIAMINO PYRAZOLE SULFATE1.97122,4-二氨基苯氧基乙醇 HCl2,4-DIAMINOPHENOXYETHANOL HCL1.74132,4-二氨基苯氧基乙醇硫酸盐2,4-DIAMINOPHENOXYETHANOL SULFATE1.16142,6-二甲氧基-3,5-吡啶二胺 HCl2,6-DIMETHOXY-3,5-PYRIDINEDIAMINE HCL0.5152,6-二羟乙基氨甲苯2,6-DIHYDROXYETHYLAMINOTOLUENE0.236162,6-二羧基吡啶2,6-DICARBOXYPYRIDINE0.1172,6-萘二甲酸二乙基己酯DIETHYLHEXYL 2,6-NAPHTHALATE1.34182,7-萘二酚(CI 76645)2,7-NAPHTHALENEDIOL1192-O-乙基抗坏血酸2-o-ETHYL ASCORBIC ACID0.05202-氨基-3-羟基吡啶2-AMINO-3-HYDROXYPYRIDINE0.6212-氨基-4-羟乙氨基茴香醚硫酸盐2-AMINO-4-HYDROXYETHYLAMINOANISOLE SULFATE1.01222-氨基-6-氯-4-硝基苯酚2-AMINO-6-CHLORO-4-NITROPHENOL0.4232-甲基-5-羟乙氨基苯酚2-METHYL-5-HYDROXYETHYLAMINOPHENOL1.79242-甲基间苯二酚2-METHYLRESORCINOL0.619988252-甲基雷琐辛2-Methylresorcinol0.93附件已批准使用的化妆品原料名称目录(第一批)序号中文名称INCI名已获批准产品中最高使用量(%)序号中文名称INCI名已获批准产品中最高使用量(%)262-氯-p-苯二胺硫酸盐2-CHLORO-p-PHENYLENEDIAMINE SULFATE0.8272-羟乙基苦氨酸2-HYDROXYETHYL PICRAMIC ACID0.69282-硝基-p-苯二胺2-NITRO-p-PHENYLENEDIAMINE0.2292-油酰胺基-1,3-十八烷二醇2-OLEAMIDO-1,3-OCTADECANEDIOL0.2303-O-乙基抗坏血酸3-o-ETHYL ASCORBIC ACID1313-甲氧基丁醇3-METHOXYBUTANOL1.5323-硝基-p-羟乙氨基酚3-NITRO-p-HYDROXYETHYLAMINOPHENOL2.6334-氨基-2-羟基甲苯4-AMINO-2-HYDROXYTOLUENE1.4344-氨基-3-硝基苯酚4-AMINO-3-NITROPHENOL0.1354-氨基-m-甲酚4-AMINO-m-CRESOL1.2364-甲基苄亚基樟脑4-METHYLBENZYLIDENE CAMPHOR3.5374-氯间苯二酚4-CHLORORESORCINOL0.15384-氯雷琐辛(CI 76510)4-CHLORORESORCINOL0.6394-羟丙氨基-3-硝基苯酚4-HYDROXYPROP...

1、当您付费下载文档后,您只拥有了使用权限,并不意味着购买了版权,文档只能用于自身使用,不得用于其他商业用途(如 [转卖]进行直接盈利或[编辑后售卖]进行间接盈利)。
2、本站所有内容均由合作方或网友上传,本站不对文档的完整性、权威性及其观点立场正确性做任何保证或承诺!文档内容仅供研究参考,付费前请自行鉴别。
3、如文档内容存在违规,或者侵犯商业秘密、侵犯著作权等,请点击“违规举报”。

碎片内容

中国已批准使用的化妆品原料名称目录第一批

小辰9+ 关注
实名认证
内容提供者

出售各种资料和文档

相关文档

确认删除?
VIP
微信客服
  • 扫码咨询
会员Q群
  • 会员专属群点击这里加入QQ群
客服邮箱
回到顶部