电脑桌面
添加小米粒文库到电脑桌面
安装后可以在桌面快捷访问

偏微分方程数值解法

偏微分方程数值解法_第1页
1/14
偏微分方程数值解法_第2页
2/14
偏微分方程数值解法_第3页
3/14
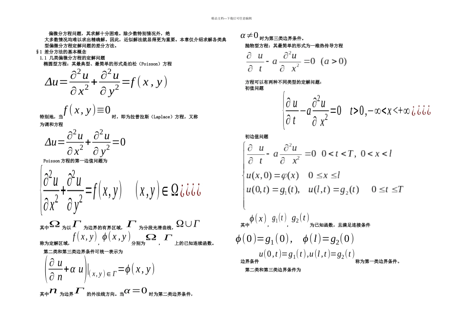
精品文档---下载后可任意编辑偏微分方程问题,其求解十分困难。除少数特别情况外,绝大多数情况均难以求出精确解。因此,近似解法就显得更为重要。本章仅介绍求解各类典型偏微分方程定解问题的差分方法。§1 差分方法的基本概念1.1 几类偏微分方程的定解问题椭圆型方程:其最典型、最简单的形式是泊松(Poisson)方程Δu=∂2u∂ x2 + ∂2u∂ y2 =f ( x , y)特别地,当f ( x, y)≡0时,即为拉普拉斯(Laplace)方程,又称为调和方程 Δu=∂2u∂ x2 + ∂2u∂ y2 =0Poisson 方程的第一边值问题为{∂2u∂x2 +∂2u∂ y2 =f (x, y)(x,y)∈Ω¿¿¿¿其中Ω 为以Γ 为边界的有界区域,Γ 为分段光滑曲线,Ω∪Γ称为定解区域,f (x, y),ϕ( x , y )分别为Ω,Γ上的已知连续函数。第二类和第三类边界条件可统一表示为(∂ u∂ n+α u)|( x, y )∈Γ=ϕ(x, y)其中n 为边界Γ 的外法线方向。当α=0 时为第二类边界条件,α≠0 时为第三类边界条件。抛物型方程:其最简单的形式为一维热传导方程方程可以有两种不同类型的定解问题:初值问题{∂ u∂ t−a∂2u∂ x2 =0t>0,−∞0, −∞

1、当您付费下载文档后,您只拥有了使用权限,并不意味着购买了版权,文档只能用于自身使用,不得用于其他商业用途(如 [转卖]进行直接盈利或[编辑后售卖]进行间接盈利)。
2、本站所有内容均由合作方或网友上传,本站不对文档的完整性、权威性及其观点立场正确性做任何保证或承诺!文档内容仅供研究参考,付费前请自行鉴别。
3、如文档内容存在违规,或者侵犯商业秘密、侵犯著作权等,请点击“违规举报”。

碎片内容

偏微分方程数值解法

您可能关注的文档

确认删除?
微信客服
  • 扫码咨询
会员Q群
  • 会员专属群点击这里加入QQ群