电脑桌面
添加小米粒文库到电脑桌面
安装后可以在桌面快捷访问

全国银行地区代码表

全国银行地区代码表_第1页
1/50
全国银行地区代码表_第2页
2/50
全国银行地区代码表_第3页
3/50
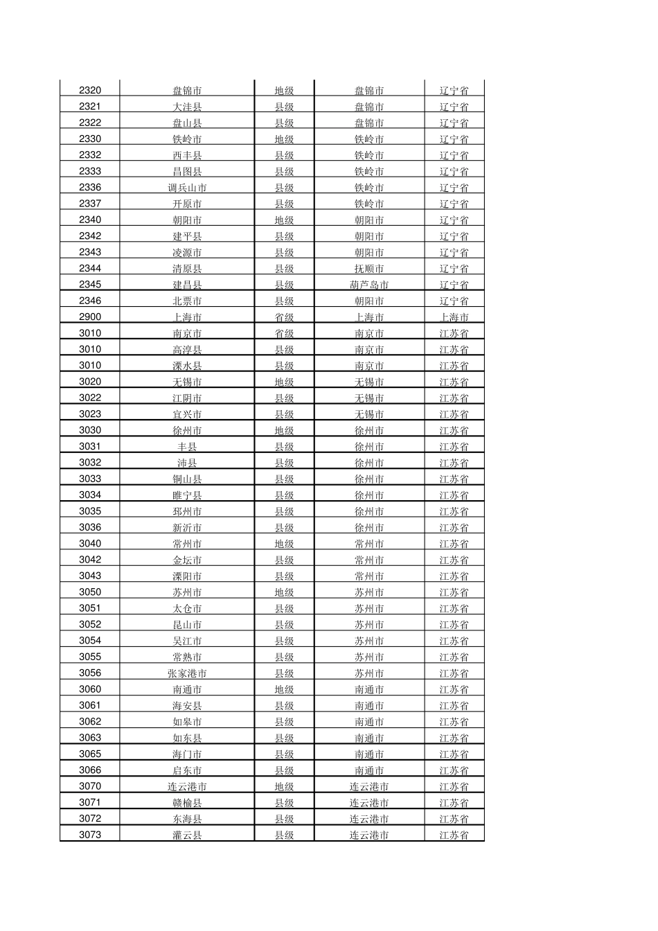
地区代码地区名称级别所在地市所在省1100天津市省级天津市天津市2210沈阳市省级沈阳市辽宁省2210法库县县级沈阳市辽宁省2210康平县县级沈阳市辽宁省2210辽中县县级沈阳市辽宁省2210新民市县级沈阳市辽宁省2220大连市地级大连市辽宁省2222普兰店市县级大连市辽宁省2223庄河市县级大连市辽宁省2224瓦房店市县级大连市辽宁省2225长海县县级大连市辽宁省2230鞍山市地级鞍山市辽宁省2231台安县县级鞍山市辽宁省2232海城市县级鞍山市辽宁省2240抚顺市地级抚顺市辽宁省2241抚顺县县级抚顺市辽宁省2242新宾县县级抚顺市辽宁省2243喀左县县级朝阳市辽宁省2250本溪市地级本溪市辽宁省2251本溪县县级本溪市辽宁省2252桓仁县县级本溪市辽宁省2260丹东市地级丹东市辽宁省2261凤城市县级丹东市辽宁省2262大石桥市县级营口市辽宁省2263东港市县级丹东市辽宁省2264宽甸县县级丹东市辽宁省2265岫岩县县级鞍山市辽宁省2270锦州市地级锦州市辽宁省2271绥中县县级葫芦岛市辽宁省2272凌海市县级锦州市辽宁省2273北宁市县级锦州市辽宁省2274黑山县县级锦州市辽宁省2275义县县级锦州市辽宁省2276葫芦岛市地级葫芦岛市辽宁省2277兴城市县级葫芦岛市辽宁省2280营口市地级营口市辽宁省2282盖州市县级营口市辽宁省2290阜新市地级阜新市辽宁省2291阜新县县级阜新市辽宁省2292彰武县县级阜新市辽宁省2310辽阳市地级辽阳市辽宁省2311辽阳县县级辽阳市辽宁省2312灯塔市县级辽阳市辽宁省全国银行地区代码表2320盘锦市地级盘锦市辽宁省2321大洼县县级盘锦市辽宁省2322盘山县县级盘锦市辽宁省2330铁岭市地级铁岭市辽宁省2332西丰县县级铁岭市辽宁省2333昌图县县级铁岭市辽宁省2336调兵山市县级铁岭市辽宁省2337开原市县级铁岭市辽宁省2340朝阳市地级朝阳市辽宁省2342建平县县级朝阳市辽宁省2343凌源市县级朝阳市辽宁省2344清原县县级抚顺市辽宁省2345建昌县县级葫芦岛市辽宁省2346北票市县级朝阳市辽宁省2900上海市省级上海市上海市3010南京市省级南京市江苏省3010高淳县县级南京市江苏省3010溧水县县级南京市江苏省3020无锡市地级无锡市江苏省3022江阴市县级无锡市江苏省3023宜兴市县级无锡市江苏省3030徐州市地级徐州市江苏省3031丰县县级徐州市江苏省3032沛县县级徐州市江苏省3033铜山县县级徐州市江苏省3034睢宁县县级徐州市江苏省3035邳州市县级徐州市江苏省3036新沂市县级徐州市江苏省3040常州市地级常州市江苏省3042金坛市县级常州市江苏省3043溧阳市县级常州市江苏省3050苏州...

1、当您付费下载文档后,您只拥有了使用权限,并不意味着购买了版权,文档只能用于自身使用,不得用于其他商业用途(如 [转卖]进行直接盈利或[编辑后售卖]进行间接盈利)。
2、本站所有内容均由合作方或网友上传,本站不对文档的完整性、权威性及其观点立场正确性做任何保证或承诺!文档内容仅供研究参考,付费前请自行鉴别。
3、如文档内容存在违规,或者侵犯商业秘密、侵犯著作权等,请点击“违规举报”。

碎片内容

全国银行地区代码表

您可能关注的文档

小辰3+ 关注
实名认证
内容提供者

出售各种资料和文档

确认删除?
VIP
微信客服
  • 扫码咨询
会员Q群
  • 会员专属群点击这里加入QQ群
客服邮箱
回到顶部