电脑桌面
添加小米粒文库到电脑桌面
安装后可以在桌面快捷访问

有机化学第二版(高占先)(全14章答案)_第814章

有机化学第二版(高占先)(全14章答案)_第814章_第1页
1/51
有机化学第二版(高占先)(全14章答案)_第814章_第2页
2/51
有机化学第二版(高占先)(全14章答案)_第814章_第3页
3/51
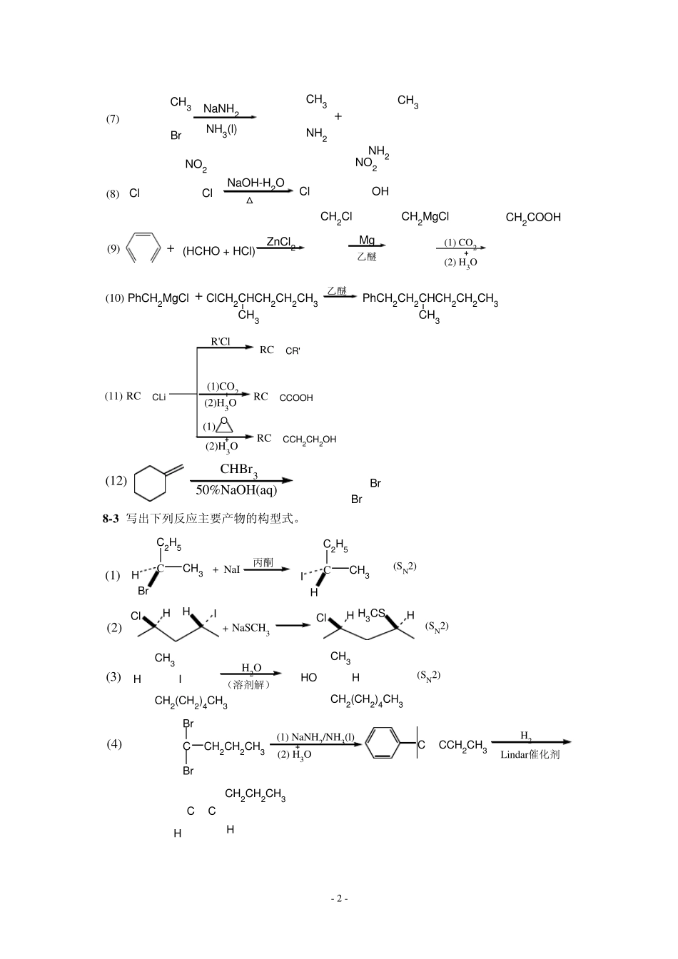
- 1 - 有机化学第二版(高占先)(全14章答案完整版) _第8-14章 史上最全的《有机化学第二版(高占先)》全14章答案完整版!!其中包括各种判断题、推断题、思考题以及合成题的答案!! Ps:亲!给好评,有送财富值哦! #^_^!! 第8 章 卤代烃 8 -2 完成下列各反应式。 (CH3)3CBrKCNC2H5OH(CH3)2C=CH2+CH3CH=CH2HBr+O OCH3CH2CH2BrCH3CH2CH2CNNaCN(1)(2)(CH3)2CHCH=CH2Br2+500℃(CH3)2CCH=CH2BrH2O△(CH3)2C=CHCH2Br+(CH3)2CCH=CH2OH(CH3)2C=CHCH2OH+(3) NaCNKOHC2H5OH, △(4)(5)(6)ClCH=CHCH2ClCH3COO+ClCH=CHCH2OCCH3OBrBrBrCNCH2CHCH3BrCH=CHCH3 - 2 - CH3BrNaNH2NH3(l)CH3NH2CH3NH2+ClClNO2NaOH-H2O△OHClNO2ZnCl2(HCHO + HCl)+CH2ClMg乙醚CH2MgClCH2COOHClCH2CHCH2CH2CH3PhCH2MgClCH3+乙醚PhCH2CH2CHCH2CH2CH3CH3(7)(8)(9)(10)(1) CO2(2) H3O RCCLiR'Cl(1)CO2(2)H3OO(1)(11)(2)H3ORCCR'RCCCOOHRCCCH2CH2OH CHBr350%NaOH(aq)BrBr(12) 8 -3 写出下列反应主要产物的构型式。 CC2H5CH3BrHNaI丙酮+CC2H5CH3HIClHHINaSCH3+ClH3CSHH(SN2)(SN2)(SN2)CH3ICH2(CH2)4CH3HH2O(溶剂解)CH3HCH2(CH2)4CH3HOCBrBrCH2CH2CH3(1) NaNH2/NH3(l)(2) H3OCCCH2CH3H2Lindar催化剂CHCCH2CH2CH3H(1)(2)(3)(4) - 3 - CH3HBrHKOHC2H5OH,△CH3HHH3CPhHBrPht-Bu OKt-Bu OH, △H3CPhPhHC6H5H3CHC6H5HBrC6H5HC6H5CH3C2H5ONa / C2H5OHE2Br(H3C)2HCCH3(H3C)2HCCH3CH3HBrCH2CH3HBrHC2H5CH3HC2H5OHZnt-Bu OKt-Bu OH, △(E2反式消除)(E2反式消除)(E2反式消除)(顺式消除)(E2反式消除,但很慢)(5)(6)(7)(8)(9) 8 -4 比较下列每对亲核取代反应,哪一个更快,为什么? (1)B>A (亲核性C2H5O->C2H5OH) (2)A>B (烯丙型卤代烃活泼) (3)B>A (极性非质子溶剂有利于SN2 反应) (4)A>B (亲核性-SH>-OH) (5)A>B (亲核性硫比氮强) (6)B>A (离去能力I->Cl-) 8 -5 卤代烷与NaOH 在H2O-C2H5OH 溶液中进行反应,指出哪些是SN2 机理的特点,哪些是SN1 机理的特点? (1)产物发生Walden 转化; SN2 (2)增加溶剂的含水量反应明显加快; SN1 (3)有重排反应产物; SN1 (4)反应速率明显地与试剂的亲核性有关; SN2 (5)反应速率与离去基的性质有关; SN2 和SN1 (6)叔卤代烷反应速度大于仲卤代烷。 SN1 8 -6 把下列各组化合物按发生SN1 反应的活性排列成序。 (1)A. 正溴...

1、当您付费下载文档后,您只拥有了使用权限,并不意味着购买了版权,文档只能用于自身使用,不得用于其他商业用途(如 [转卖]进行直接盈利或[编辑后售卖]进行间接盈利)。
2、本站所有内容均由合作方或网友上传,本站不对文档的完整性、权威性及其观点立场正确性做任何保证或承诺!文档内容仅供研究参考,付费前请自行鉴别。
3、如文档内容存在违规,或者侵犯商业秘密、侵犯著作权等,请点击“违规举报”。

碎片内容

有机化学第二版(高占先)(全14章答案)_第814章

确认删除?
VIP
微信客服
  • 扫码咨询
会员Q群
  • 会员专属群点击这里加入QQ群
客服邮箱
回到顶部