电脑桌面
添加小米粒文库到电脑桌面
安装后可以在桌面快捷访问

检查井工程量计算

检查井工程量计算_第1页
1/8
检查井工程量计算_第2页
2/8
检查井工程量计算_第3页
3/8
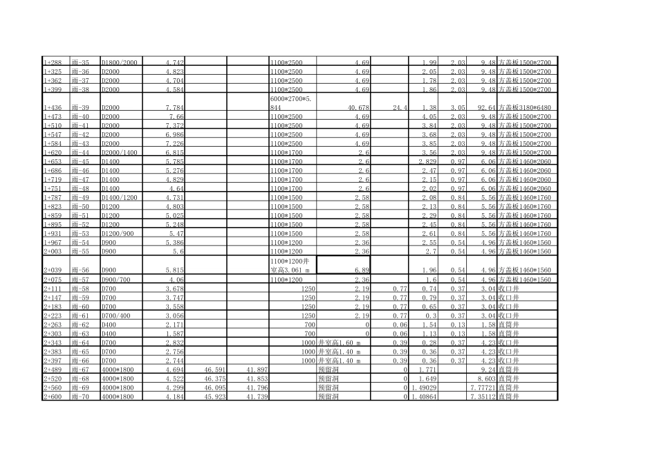
桩号管径井径井室收口井筒0+070雨-1D7001.65912501.580.1780.373.04 盖板0+109雨-2D700/5001.78610001.360.1780.222.11 盖板0+148雨-3D5001.84910001.420.1780.222.25 盖板0+187雨-4D5002.21910001.760.1780.222.79 盖板0+226雨-5D500/4002.5910001.760.4540.222.79 盖板0+265雨-6D4001.86410001.430.1780.22.7 盖板0+304雨-7D4001.26770000.060.7940.131.58 直筒0+343雨-8D4001.57470000.061.010.131.58 直筒0+382雨-9D4001.85370000.061.210.131.59 直筒0+421雨-10D400/7002.13212502.110.1780.374.07 盖板0+460雨-11D7002.64512502.190.60.374.23 盖板0+505雨-12D7002.51112502.190.510.374.23 盖板0+510雨-13D7002.48812502.190.40.374.23 盖板0+520雨-14D7002.44212502.190.370.374.23 盖板0+525雨-15D7002.41812502.190.350.374.23 盖板0+557雨-16D9002.3791100*12002.360.330.544.24 方盖板1460*15600+586雨-17D9002.7171100*12002.360.570.544.96 方盖板1460*15600+625雨-18D9003.1691100*12002.360.570.544.96 方盖板1460*15600+664雨-19D9003.8451100*12002.361.370.544.96 方盖板1460*15600+703雨-20D900/12004.5281100*15002.581.850.845.56 方盖板1460*17600+742雨-21D12005.361100*15002.582.440.845.56 方盖板1460*17600+781雨-22D12005.6381100*15002.582.640.845.56 方盖板1460*17600+820雨-23D12005.6631100*15002.582.740.845.56 方盖板1460*17600+859雨-24D1200/14005.5451100*17002.62.60.976.06 方盖板1460*20600+898雨-25D14005.5681100*17002.62.580.976.06 方盖板1460*20600+937雨-26D14005.441100*17002.62.490.976.06 方盖板1460*20600+976雨-27D14005.3121100*17002.62.390.976.06 方盖板1460*20601+015雨-28D1400/16005.1841100*20003.322.31.457.19 方盖板1500*24001+054雨-29D16005.3581100*20003.322.431.457.19 方盖板1500*24001+093雨-30D16005.2321100*20003.322.341.457.19 方盖板1500*24001+132雨-31D16005.1071100*20003.322.251.457.19 方盖板1500*24001+171雨-32D1600/18004.9811100*22603.912.161.678.57 方盖板1500*24001+210雨-33D18005.0011100*22603.912.171.678.57 方盖板1500*24001+249雨-34D18004.8721100*22603.912.081.678.57 方盖板1500*2400雨水检查井工程量砖砌体井深C10砼砂浆抹面井号备注路面高管内底1+288雨-35D1800/20004.7421100*25004.691.992.039....

1、当您付费下载文档后,您只拥有了使用权限,并不意味着购买了版权,文档只能用于自身使用,不得用于其他商业用途(如 [转卖]进行直接盈利或[编辑后售卖]进行间接盈利)。
2、本站所有内容均由合作方或网友上传,本站不对文档的完整性、权威性及其观点立场正确性做任何保证或承诺!文档内容仅供研究参考,付费前请自行鉴别。
3、如文档内容存在违规,或者侵犯商业秘密、侵犯著作权等,请点击“违规举报”。

碎片内容

检查井工程量计算

小辰5+ 关注
实名认证
内容提供者

出售各种资料和文档

相关文档

确认删除?
VIP
微信客服
  • 扫码咨询
会员Q群
  • 会员专属群点击这里加入QQ群
客服邮箱
回到顶部