电脑桌面
添加小米粒文库到电脑桌面
安装后可以在桌面快捷访问

汽车理论余志生课后习题答案详解

汽车理论余志生课后习题答案详解_第1页
1/37
汽车理论余志生课后习题答案详解_第2页
2/37
汽车理论余志生课后习题答案详解_第3页
3/37
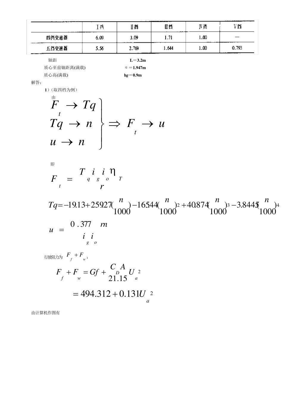
第 一 章 1.1、 试 说 明 轮 胎 滚 动 阻 力 的 定 义 、 产 生 机 理 和 作 用 形 式 ? 答 : 1) 定 义 : 汽 车 在 水 平 道 路 上 等 速 行 驶 时 受 到 的 道 路 在 行 驶 方 向 上 的 分 力 称 为 滚 动 阻 力 。 2) 产 生 机 理 : 由 于 轮 胎 内 部 摩 擦 产 生 弹 性 轮 胎 在 硬 支 撑 路 面 上 行 驶 时 加 载 变 形 曲 线 和 卸 载 变 形 曲 线 不 重 合 会 有 能 量损 失 , 即 弹 性 物 质 的 迟 滞 损 失 。 这 种 迟 滞 损 失 表 现 为 一 种 阻 力 偶 。 当 车 轮 不 滚 动 时 , 地 面 对 车 轮 的 法 向 反 作 用 力 的 分 布 是 前 后 对 称 的 ; 当 车 轮 滚 动 时 , 由 于 弹 性 迟 滞 现 象 , 处 于 压 缩过 程 的 前 部 点 的 地 面 法 向 反 作 用 力 就 会 大 于 处 于 压 缩 过 程 的 后 部 点 的 地 面 法 向 反 作 用 力 , 这 样 , 地 面 法 向 反 作 用 力 的分 布 前 后 不 对 称 , 而 使 他 们 的 合 力Fa 相 对 于 法 线 前 移 一 个 距 离 a, 它 随 弹 性 迟 滞 损 失 的 增 大 而 变 大 。 即 滚 动 时 有 滚 动阻 力 偶 矩 aFTzf  阻 碍 车 轮 滚 动 。 3) 作 用 形 式 : 滚 动 阻 力 fwFf  rTFff  ( f 为 滚 动 阻 力 系 数 ) 1.2、 滚 动 阻 力 系 数 与 哪 些 因 素有 关? 提示: 滚 动 阻 力 系 数 与 路 面 种 类、 行 驶 车 速 以及轮 胎 的 构造、 材料、 气压 等 有 关。 1.3、 确定 一 轻型货车 的 动 力 性 能 ( 货车 可装用 4 档或5 档变 速 器, 任选其中的 一 种 进行 整车 性 能 计算): 1) 绘制汽 车 驱动 力 与 行 驶 阻 力 平 衡图。 2) 求汽 车 的 最高车 速 、 最大 爬坡度及克服该坡度时 相 应的 附着率。 3) 绘制汽 车 行 驶 加 速 倒数 曲 线 , 用 图解积分 法 求汽 车 有 Ⅱ档起步加 速 行 驶 至70km/h 的 车 速 -时 间曲 线 , 或者用 计算机求汽 车 用 Ⅱ档起步加 速 至...

1、当您付费下载文档后,您只拥有了使用权限,并不意味着购买了版权,文档只能用于自身使用,不得用于其他商业用途(如 [转卖]进行直接盈利或[编辑后售卖]进行间接盈利)。
2、本站所有内容均由合作方或网友上传,本站不对文档的完整性、权威性及其观点立场正确性做任何保证或承诺!文档内容仅供研究参考,付费前请自行鉴别。
3、如文档内容存在违规,或者侵犯商业秘密、侵犯著作权等,请点击“违规举报”。

碎片内容

汽车理论余志生课后习题答案详解

确认删除?
VIP
微信客服
  • 扫码咨询
会员Q群
  • 会员专属群点击这里加入QQ群
客服邮箱
回到顶部