电脑桌面
添加小米粒文库到电脑桌面
安装后可以在桌面快捷访问

主谓一致练习

主谓一致练习_第1页
1/4
主谓一致练习_第2页
2/4
主谓一致练习_第3页
3/4
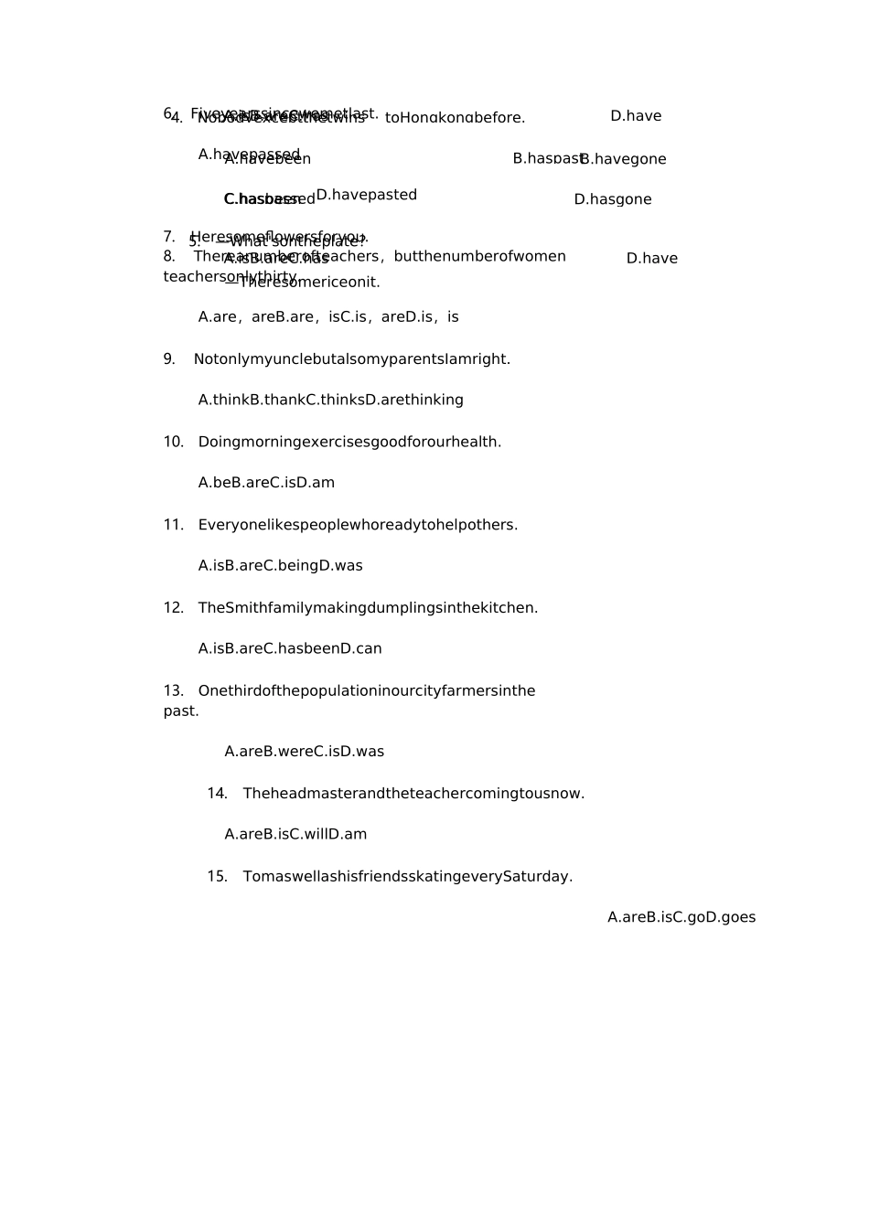
高二年级主谓一致练习、用所给词的适当形式填空TomandI(be)goingtoseeafilmthisevening.Thedoctorandwriter(have)beenherefortwoyears.There(be)apenandthreebooksonthedesk.Myfamilyall(like)towatchTV.Heorshe(have)gonethere.Thenews(be)veryinteresting.Threedays(be)notenoughforus.Neitherofus(enjoy)climbingthetree.Everydoorandeverywindow(be)tobecleaned.Tom'snewtrousers(be)blue.None(be)lateforschoolyesterday.Acartandhorse(be)coming.Tom,likeMaryandRose,(have)aninterestingbook.Oneofthewindows(be)closed.Allofmyhope(be)gone.Everything(go)wellwithme.Doingmorningexercises(be)goodforyourhealth.Whathesaid(sound)reasonable.有理的)Intheboat(be)threeyoungmen.“I”(be)theninthletter.Hisfamily(be)watchingTVinthesittingroom.Hisfamily(be)verybig.1.2.3.4.5.6.7.8.9.10.11.12.13.14.15.16.17.18.19.20.21.22.A.wasB.areC.isD.were23.Thepairofglasses(fit)youwell.24.Severalpairsofnewshoes(sent)totheoldmen.25.Theold(be)takengoodcareofinoursociety.26.Aspeakerandwriter(be)comingtomorrow.27.Aspeakerandawritercomingtomorrow.28.Thenumberofthestudentsinourclass(be)50.29.Anumberofstudents(be)learningJapanesenow.thirdsofthebread(be)eaten.二、改错题1.TheirfamilyiswatchingTV.2.Tenyearsarequitealongtime.3.NeitheryounorhehavebeentoBeijing.4.Thispairoftrousersareverynew,butTom'strousersareveryold.5.Halfofthestudentshavefinishedmostofthework.Therestofitareverydifficult.6.Sixmilesaretoofarforanoldmantowalk.7.Eachofushaveanewdictionary.8.Theyeachhasgivenanewroom.9.Thisisoneofthemostinterestingstoriesthathasbeentold.10.Eitheryouorhearenottellingthetruth.三、根据句意,从所给出的选项中选出最佳答案。1.Thenewsveryworthlisteningto.A.beB.isC.areD.am2.—thispairofglassesyours?—No.Myglassesonthedesk.A.Is,isB.Are,isC.Is,areD.Are,are3.TheoldtakengoodcareofinChinanow.4.Nobodyexceptthetwins___toHongkongbefore.A.havebeenC.hasbeen5.—What'sontheplate?—Theresomericeonit.B.havegoneD.hasgoneA.isB.areC.hasD.haveB.haspastC.haspassedA.isB.areC.hasD.have6.Fiveyearssincewemetlast.A.havepassedD.havepasted7.Heresomeflowersforyou.8.There...

1、当您付费下载文档后,您只拥有了使用权限,并不意味着购买了版权,文档只能用于自身使用,不得用于其他商业用途(如 [转卖]进行直接盈利或[编辑后售卖]进行间接盈利)。
2、本站所有内容均由合作方或网友上传,本站不对文档的完整性、权威性及其观点立场正确性做任何保证或承诺!文档内容仅供研究参考,付费前请自行鉴别。
3、如文档内容存在违规,或者侵犯商业秘密、侵犯著作权等,请点击“违规举报”。

碎片内容

主谓一致练习

您可能关注的文档

确认删除?
VIP
微信客服
  • 扫码咨询
会员Q群
  • 会员专属群点击这里加入QQ群
客服邮箱
回到顶部