电脑桌面
添加小米粒文库到电脑桌面
安装后可以在桌面快捷访问

介绍Wallis公式及其应用

介绍Wallis公式及其应用_第1页
1/6
介绍Wallis公式及其应用_第2页
2/6
介绍Wallis公式及其应用_第3页
3/6
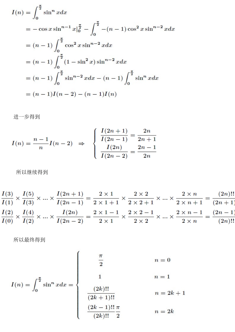
Wallis 公式及其应用本文讲述 Wallis 公式,以及它的推导过程。然后讲述 Wallis 公式的两个重要应用,即推导Stirling 公式和求解 Euler-Poisson 积分。 Contens 1. 什么是 Wallis 公式 2. Wallis 公式的推导过程 3. 利用 Wallis 公式推导 Stirling 公式 4. 利用 Wallis 公式求解 Euler-Poisson 积分 1. 什么是 Wallis 公式 Wallis 公式是关于圆周率的无穷乘积的公式,公式内容如下 其中,开方后还可以写成 2. Wallis 公式的推导过程 Wallis 公式的推导采纳对在区间内的积分完成,令 用部分积分法得到如下推导过程 进一步得到 所以继续得到 所以最终得到 由的单调性可知 即得到 由两边夹挤准则得到 这样就推导出了 Wallis 公式。 3. 利用 Wallis 公式推导 Stirling 公式 斯特林公式如下 接下来利用 Wallis 公式来推导斯特林公式。 借助函数的图像面积,通常有三种求法,分别是积分法,内接梯形分割法,外切梯形分割法。实 际上最准确的是第一种,后面两种都有一定误差。 对于积分法求面积有 对于内接梯形分割法有 很容易知道,令,很容易证明为有界递增序列,则 接下来令,则有极限,设 则根据 Wallis 公式得到 进一步化简得到 所以最终得到 带入原式得到斯特林公式 4. 利用 Wallis 公式求解 Euler-Poisson 积分 在上面,我通过 Wallis 公式完美地推导了斯特林公式,接下来继续看 Wallis 公式的另一个应用,即求解 Euler-Poisson 积分。 Euler-Poisson 积分是无限区间上的非正常积分 它在概率论等数学分支以及其它自然科学中都有重要应用,由于它的被积函数的原函数不能用初等函数表示, 因此不能用牛顿-莱布尼兹公式求它的值。现在我就用上面学到的 Wallis 公式来求解。 借助函数在时取得最大值 1,因此对于任何,都有,从 而得到和,所以 对任意自然数都有 由于 那么,我们又知道 即得到不等式为 同时取平方后得到 由 Wallis 公式可以推出,在的情况下,两边都是以为极限,由两边夹挤准则得到

1、当您付费下载文档后,您只拥有了使用权限,并不意味着购买了版权,文档只能用于自身使用,不得用于其他商业用途(如 [转卖]进行直接盈利或[编辑后售卖]进行间接盈利)。
2、本站所有内容均由合作方或网友上传,本站不对文档的完整性、权威性及其观点立场正确性做任何保证或承诺!文档内容仅供研究参考,付费前请自行鉴别。
3、如文档内容存在违规,或者侵犯商业秘密、侵犯著作权等,请点击“违规举报”。

碎片内容

介绍Wallis公式及其应用

一帆文传+ 关注
实名认证
内容提供者

欢迎光临店铺,各类公文供您挑选。

相关文档

确认删除?
VIP
微信客服
  • 扫码咨询
会员Q群
  • 会员专属群点击这里加入QQ群
客服邮箱
回到顶部