电脑桌面
添加小米粒文库到电脑桌面
安装后可以在桌面快捷访问

一阶动态电路分析

一阶动态电路分析一阶动态电路分析一阶动态电路分析一阶动态电路分析一阶动态电路分析
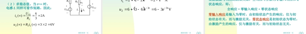
跳转到第一页第 6 章 一阶动态电路分析跳转到第一页学习要点 掌握用三要素法分析一阶动态电路的方法 理解电路的暂态和稳态以及时间常数的物理意义 了解用经典法分析一阶动态电路的方法 了解一阶电路的零输入响应、零状态响应和全响应的概念 了解微分电路和积分电路的构成及其必须具备的条件第 6 章 一阶动态电路分析跳转到第一页第 6 章 一阶动态电路分析 6.1 换路定理 6.2 一阶动态电路分析方法 6.3 零输入响应和零状态响应 6.4 微分电路和积分电路跳转到第一页6.1 换路定理过渡过程:电路从一个稳定状态过渡到另一个稳定状态,电压、电流等物理量经历一个随时间变化的过程。含有动态元件电容 C 和电感 L 的电路称为动态电路。动态电路的伏安关系是用微分或积分方程表示的。通常用微分形式。一阶电路:用一阶微分方程来描述的电路。一阶电路中只含有一个 动态元件。本章着重于无源和直流一阶电路。产生过渡过程的条件:电路结构或参数的突然改变。产生过渡过程的原因:能量不能跃变,电感及电容能量的存储和释放需要时间,从而引起过渡过程。6.1.1 电路产生过渡过程的原因跳转到第一页换路:电路工作条件发生变化,如电源的接通或切断,电路连接方法或参数值的突然变化等称为换路。换路定理:电容上的电压 uC 及电感中的电流iL 在换路前后瞬间的值是相等的,即:必须注意:只有 uC 、 iL 受换路定理的约束而保持不变,电路中其他电压、电流都可能发生跃变。)0()0()0()0(LLCCiiuu6.1.2 换路定理跳转到第一页例:图示电路原处于稳态, t=0 时开关 S 闭合, US=10V ,R1=10Ω , R2=5Ω ,求初始值uC(0+) 、 i1(0+) 、 i2(0+) 、 iC(0+) 。解:由于在直流稳态电路中,电容 C 相当于开路,因此 t=0-时电容两端电压分别为: +US - C +uC -St=0i1R1R2iCi2 +US -i1(0+)R1R2iC(0+)i2(0+) +uC(0+) -V10)0(SCUu在开关 S 闭合后瞬间,根据换路定理有:V10)0()0(CCuu由此可画出开关 S 闭合后瞬间即时的等效电路,如图所示。由图得:A0101010)0()0(1CS1RuUiA2510)0()0(2C2RuiA220)0()0()0(21Ciii跳转到第一页例:图示电路原处于稳态, t=0 时开关 S 闭合,求初始值uC(0+) 、 iC(0+) 和 u(0+) 。解:由于在直流稳态电路中,电感 L 相当于短路、电容 C 相当于开路,因此 t=0- ...

1、当您付费下载文档后,您只拥有了使用权限,并不意味着购买了版权,文档只能用于自身使用,不得用于其他商业用途(如 [转卖]进行直接盈利或[编辑后售卖]进行间接盈利)。
2、本站所有内容均由合作方或网友上传,本站不对文档的完整性、权威性及其观点立场正确性做任何保证或承诺!文档内容仅供研究参考,付费前请自行鉴别。
3、如文档内容存在违规,或者侵犯商业秘密、侵犯著作权等,请点击“违规举报”。

碎片内容

一阶动态电路分析

您可能关注的文档

确认删除?
VIP
微信客服
  • 扫码咨询
会员Q群
  • 会员专属群点击这里加入QQ群
客服邮箱
回到顶部