电脑桌面
添加小米粒文库到电脑桌面
安装后可以在桌面快捷访问

考点10-对数函数(练习)(解析版)

考点10-对数函数(练习)(解析版)_第1页
1/28
考点10-对数函数(练习)(解析版)_第2页
2/28
考点10-对数函数(练习)(解析版)_第3页
3/28
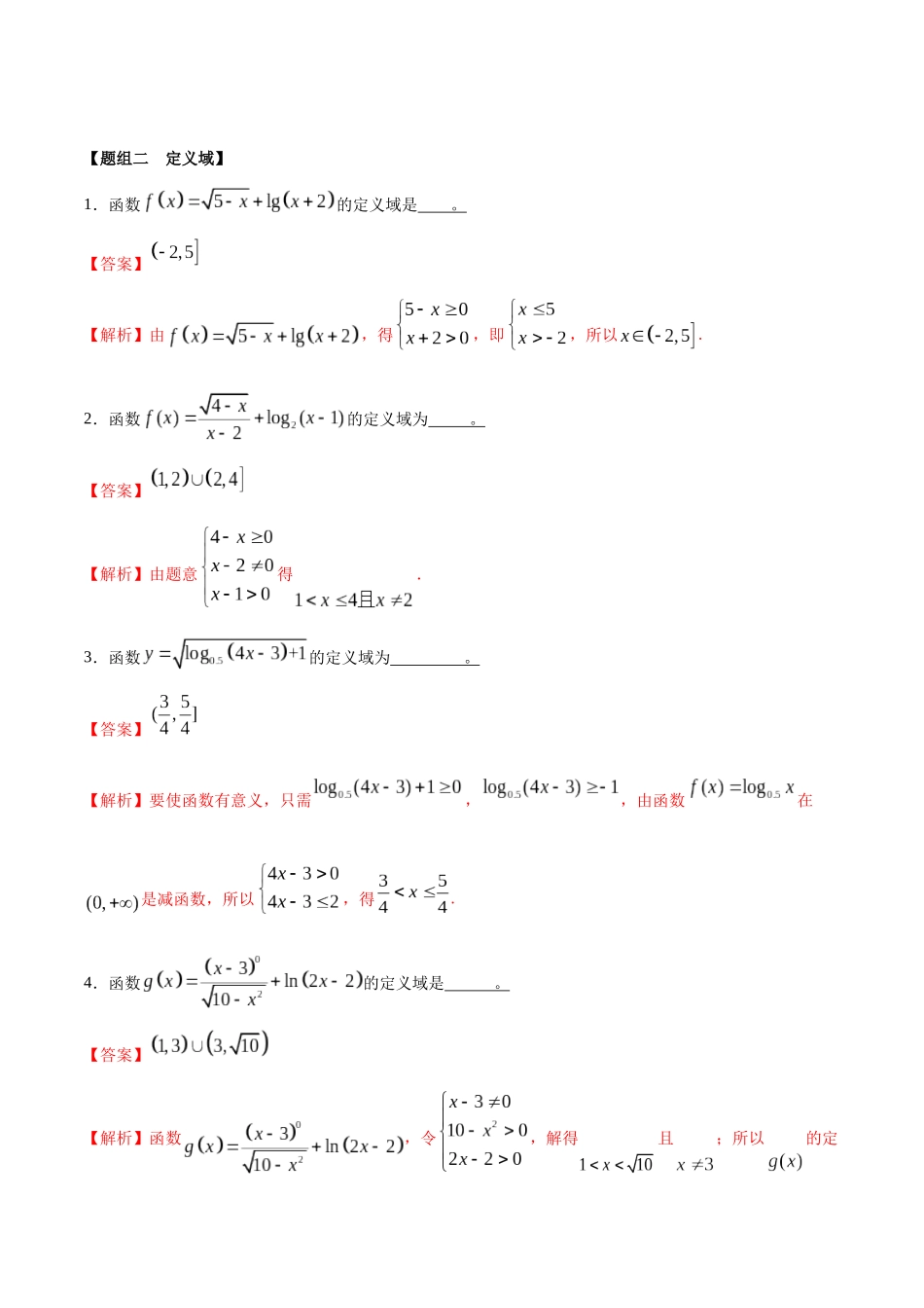
考点 10:对数函数【题组一 定义辨析】1.下列函数是对数函数的个数 。①②③④【答案】1【解析】由对数函数的定义:形如且的形式,则函数为对数函数,只有④符合.2.已知对数函数,则______。【答案】2【解析】由对数函数的定义,可得,解得。故答案为:.3.若函数 y=(a2-3a+3)logax 是对数函数,则 a 的值为______.【答案】2【解析】由对数函数的定义结合题意可知:,据此可得:.4.函数 为对数函数,则等于 。【答案】-3【解析】因为函数 为对数函数,所以函数系数为 1,即即或,因为对数函数底数大于 0,所以,,所以.5.在 M=log(x–3)(x+1)中,要使式子有意义,x 的取值范围为 。【答案】(3,4)∪(4,+∞)【解析】由函数的解析式可得,解得 34..【题组二 定义域】1.函数的定义域是 。【答案】【解析】由,得,即,所以.2.函数的定义域为 。【答案】【解析】由题意得.3.函数的定义域为 。【答案】【解析】要使函数有意义,只需,,由函数在是减函数,所以,得.4.函数的定义域是 。【答案】【解析】函数,令,解得且;所以的定义域是.5.已知函数 ,则它的定义域是______.【答案】.【解析】函数 的定义域满足: 解得 故答案为:6.使有意义的的取值范围是________.【答案】【解析】由题意得:,解得:且,故填:.7.函数 y=lg(3-4sin2x)的定义域为________.【答案】 【解析】 3-4sin2x>0,∴sin2x< ,∴-<sin x<.利用三角函数线画出 x 满足条件的终边范围(如图阴影部分所示),∴x∈ (k∈Z)8.设函数 f(x)=ln,则函数 g(x)= f()+ f()的定义域_____________.【答案】【解析】要使函数有意义,则需,则所求定义域为:,故答案为:.9.假如函数是奇函数,则的定义域是_____________.【答案】【解析】函数是奇函数,,,,令,解得,∴的定义域是.故答案为:.10.函数的定义域为________.【答案】【解析】要使原式有意义,则,解得 x∈.故答案为:.11.设函数,则函数的定义域是________【答案】【解析】由 1﹣x2>0,可得﹣1<x<1.∴f(x)的定义域为(﹣1,1),由﹣11,得﹣1<x<3.∴函数的定义域是(﹣1,3).故答案为:(﹣1,3).12.函数的定义域为,则实数的取值范围是 。【答案】【解析】由题意可知,kx2﹣kx+1>0 恒成立,当 k=0 时,1>0 恒成立,当 k≠0 时,,解可得,0<k<4,综上可得,k 的范围[0,4).13.已知函数的定...

1、当您付费下载文档后,您只拥有了使用权限,并不意味着购买了版权,文档只能用于自身使用,不得用于其他商业用途(如 [转卖]进行直接盈利或[编辑后售卖]进行间接盈利)。
2、本站所有内容均由合作方或网友上传,本站不对文档的完整性、权威性及其观点立场正确性做任何保证或承诺!文档内容仅供研究参考,付费前请自行鉴别。
3、如文档内容存在违规,或者侵犯商业秘密、侵犯著作权等,请点击“违规举报”。

碎片内容

考点10-对数函数(练习)(解析版)

文旅传媒+ 关注
实名认证
内容提供者

传播文化,成就未来

确认删除?
VIP
微信客服
  • 扫码咨询
会员Q群
  • 会员专属群点击这里加入QQ群
客服邮箱
回到顶部