电脑桌面
添加小米粒文库到电脑桌面
安装后可以在桌面快捷访问

吉林省吉林市第一中学校高中数学 第一章 导数及其应用课前预习学案 新人教A版选修1

吉林省吉林市第一中学校高中数学 第一章 导数及其应用课前预习学案 新人教A版选修1_第1页
1/4
吉林省吉林市第一中学校高中数学 第一章 导数及其应用课前预习学案 新人教A版选修1_第2页
2/4
吉林省吉林市第一中学校高中数学 第一章 导数及其应用课前预习学案 新人教A版选修1_第3页
3/4
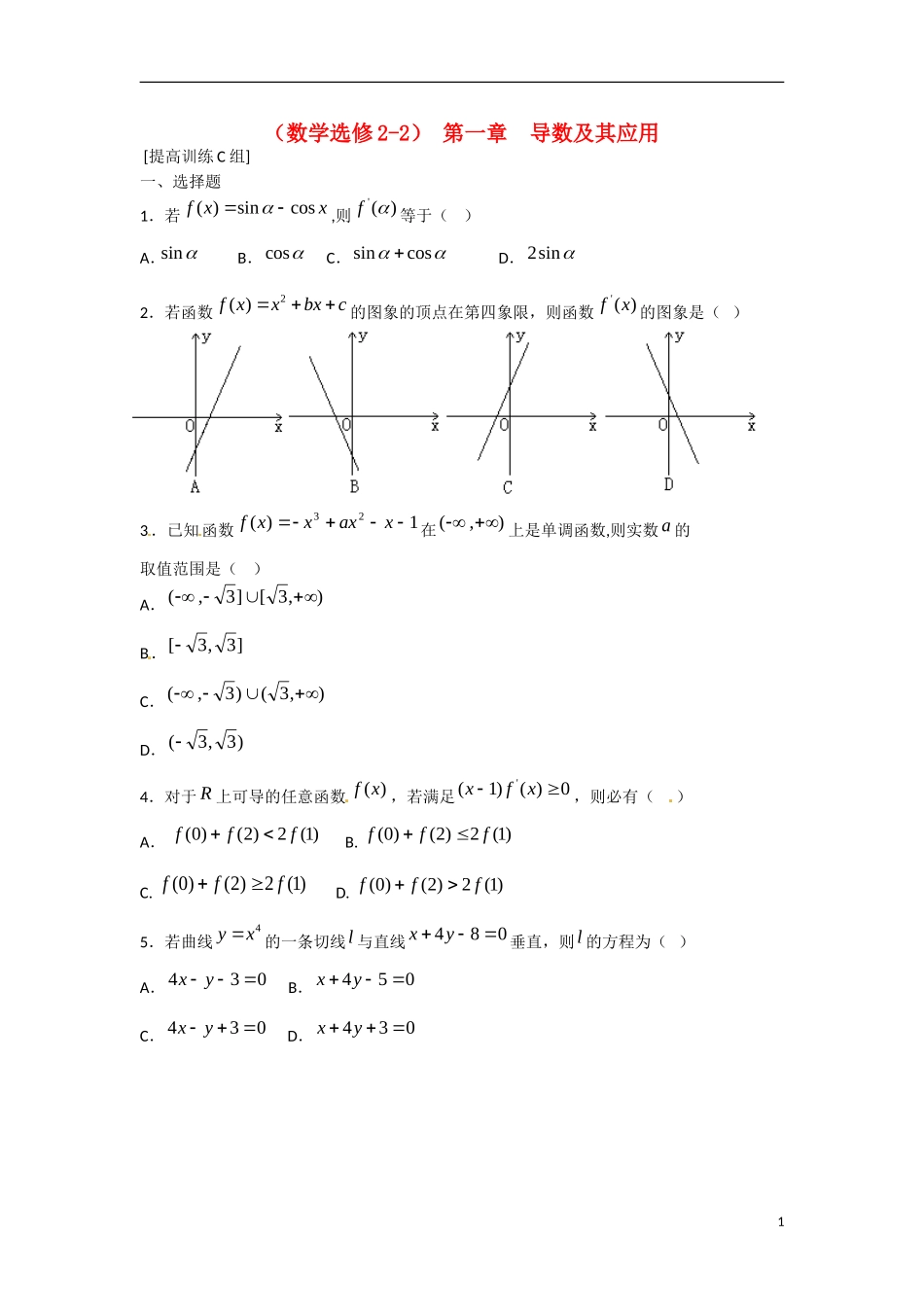
(数学选修 2-2) 第一章 导数及其应用 [提高训练 C 组]一、选择题1.若( )sincosf xx,则'( )f  等于( )A.sin B.cos C.sincosD.2sin2.若函数2( )f xxbxc的图象的顶点在第四象限,则函数'( )fx 的图象是( )3.已知函数1)(23xaxxxf在),(上是单调函数,则实数a 的取值范围是( )A.),3[]3,( B.]3,3[ C.),3()3,( D.)3,3(4.对于 R 上可导的任意函数( )f x ,若满足'(1)( )0xfx ,则必有( )A. (0)(2)2 (1)fff B. (0)(2)2 (1)fffC. (0)(2)2 (1)fff D. (0)(2)2 (1)fff5.若曲线4yx的一条切线l 与直线480xy 垂直,则l 的方程为( )A.430xy B.450xy C.430xy D.430xy1 abxy)(xfyO abxy)(xfyO6.函数)(xf的定义域为开区间),(ba,导函数)(xf 在),(ba内的图象如图所示,则函数)(xf在开区间),(ba内有极小值点( )A.1个 B.2 个 C.3 个 D.4 个二、填空题1.若函数( )()2f xx xc=-在2x  处有极大值,则常数c 的值为_________;2.函数xxysin2 的单调增区间为 。3.设函数( )cos( 3)(0)f xx,若( )( )f xfx为奇函数,则 =__________4.设321( )252f xxxx,当]2,1[x时,( )f xm恒成立,则实数m 的取值范围为 。5.对正整数n ,设曲线)1(xxyn在2x  处的切线与 y 轴交点的纵坐标为na ,则数列1nan 的前n 项和的公式是 三、解答题1.求函数3(1cos2 )yx的导数。2.求函数243yxx的值域。23.已知函数32( )f xxaxbxc在23x 与1x  时都取得极值(1)求 ,a b 的值与函数( )f x 的单调区间(2)若对[ 1,2]x ,不等式2( )f xc恒成立,求c 的取值范围。34.已知23( )log xaxbf xx,(0,)x ,是否存在实数ab、 ,使)(xf同时满足下列两个条件:(1))(xf在(0,1) 上是减函数,在1, 上是增函数;(2))(xf的最小值是1,若存在,求出ab、 ,若不存在,说明理由.4

1、当您付费下载文档后,您只拥有了使用权限,并不意味着购买了版权,文档只能用于自身使用,不得用于其他商业用途(如 [转卖]进行直接盈利或[编辑后售卖]进行间接盈利)。
2、本站所有内容均由合作方或网友上传,本站不对文档的完整性、权威性及其观点立场正确性做任何保证或承诺!文档内容仅供研究参考,付费前请自行鉴别。
3、如文档内容存在违规,或者侵犯商业秘密、侵犯著作权等,请点击“违规举报”。

碎片内容

吉林省吉林市第一中学校高中数学 第一章 导数及其应用课前预习学案 新人教A版选修1

您可能关注的文档

确认删除?
VIP
微信客服
  • 扫码咨询
会员Q群
  • 会员专属群点击这里加入QQ群
客服邮箱
回到顶部