电脑桌面
添加小米粒文库到电脑桌面
安装后可以在桌面快捷访问

分式计算练习题

分式计算练习题_第1页
1/4
分式计算练习题_第2页
2/4
分式计算练习题_第3页
3/4
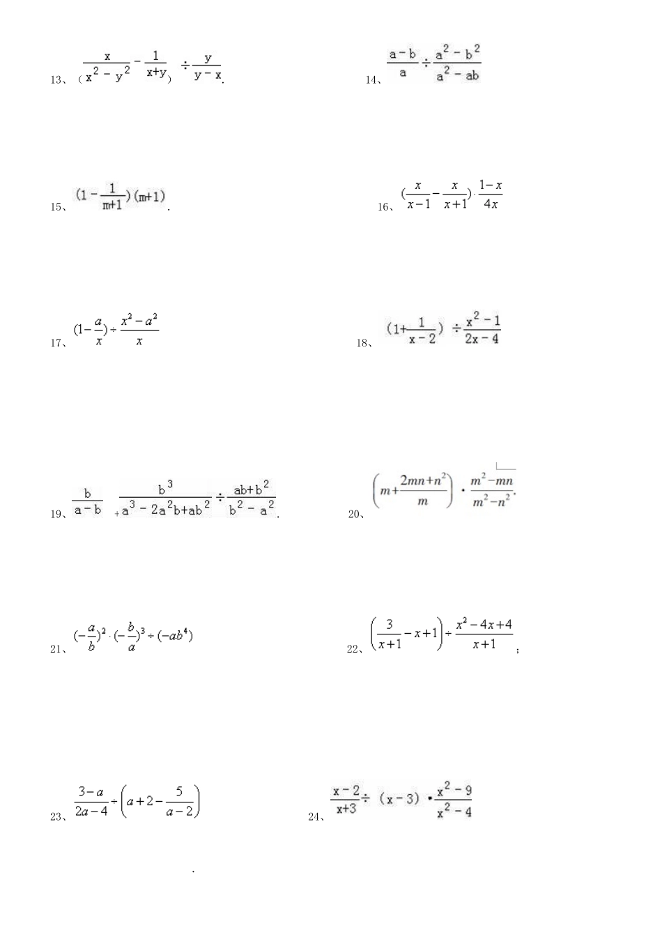
分式运算训练题 姓名:_______________得分:_______________一、计算题(每题 3 分,共 90 分) 2、3、5、. 6、 7、. 8、 9、 10、.11、 12、13、(). 14、15、. 16、17、 18、19、 +. 20、 21、 22、;23、 24、.25、. 26、 .27、 28、 29、 二.计算题(每题 5 分,共 30 分)32、先化简,再求值:,其中.33、先化简,再求值:,其中。35、先化简,再求值:,其中 a=436、先化简,再求值: ,其中.37、已知,且,求代数式的值.38、先化简,再求值:,其中.

1、当您付费下载文档后,您只拥有了使用权限,并不意味着购买了版权,文档只能用于自身使用,不得用于其他商业用途(如 [转卖]进行直接盈利或[编辑后售卖]进行间接盈利)。
2、本站所有内容均由合作方或网友上传,本站不对文档的完整性、权威性及其观点立场正确性做任何保证或承诺!文档内容仅供研究参考,付费前请自行鉴别。
3、如文档内容存在违规,或者侵犯商业秘密、侵犯著作权等,请点击“违规举报”。

碎片内容

分式计算练习题

领读文化+ 关注
实名认证
内容提供者

传播文化,铸就未来

相关文档

确认删除?
VIP
微信客服
  • 扫码咨询
会员Q群
  • 会员专属群点击这里加入QQ群
客服邮箱
回到顶部