电脑桌面
添加小米粒文库到电脑桌面
安装后可以在桌面快捷访问

鲁教五四版八年级上2.3分式的加减法检测题(含答案)

鲁教五四版八年级上2.3分式的加减法检测题(含答案)_第1页
1/4
鲁教五四版八年级上2.3分式的加减法检测题(含答案)_第2页
2/4
鲁教五四版八年级上2.3分式的加减法检测题(含答案)_第3页
3/4
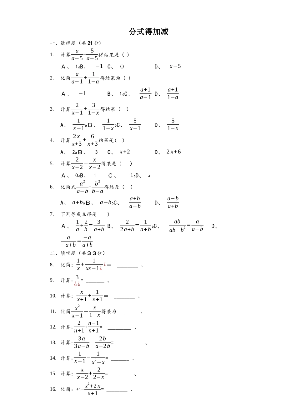
分式得加减一、选择题(共 21 分)1.计算aa−5-5a−5得结果是( )A、 1ﻩB、 −1 C、 0D、 a−52.化简aa−1+11−a 得结果为( )A、 −1B、 1ﻩC、 a+1a−1 D、 a+11−a3.计算2x−1+31−x 得结果( )A、 1x−1ﻩB、 11−xﻩC、 5x−1D、 51−x4.计算 2 xx+3 + 6x+3结果是( )A、 2ﻩB、 3C、 x+2D、 2 x+65.计算2x−2−xx−2得果是( )A、 0ﻩB、 1C、 −1ﻩD、 x6.化简式 a2a−b+ b2b−a得结是( )A、 a+bﻩB、 a−bﻩC、 a+ba−bD、 a−ba+b7.下列等成立得是 )A、 1a + 2b = 3a+b B、 22a+b= 1a+bﻩC、 abab−b2=aa−bD、 a−a+b = −aa+b二、填空题(共33分)8.化简:1x +1xx−1¿ ¿= ______ 、9.计算: 3¿¿= ______ 、10. 计算: xx+1 + 1x+1= ______ 、11. 化简 x2x−1+x1−x 得果为______ 、12. 计算: 2n+1+n−1n+1 = ______ 、13. 计算:3a3a−b− 2ba−2b = ______ 、14. 计算:1x−1−1x2−x = ______ 、15. 计算:xx−2+22−x = ______ 、16. 化简:+1- x2+2 xx+1 = ______ 、17. 计算: a2a+1− 1a+1= ______ 、18. 化简: x2+x+4x2−4−xx−2= ______ 、三、计算题(共 18 分)19. 计算:¿、化简:4a2−4+ 2a+2−1a−2、ﻫﻫﻫﻫ20. 化简: 2aa+1- a−4a2−1 ÷a−2a2−2+1、ﻫﻫﻫﻫ21. 计算:¿ 计算:aa−1− a+1a2−1、ﻫﻫﻫﻫ四、解答题(共 28 分)22. 按要化简:2a−1+ a+31−a2、ﻫﻫ23.2(-2)-+6…第二步解: 2x+2 - x−6x2−4 =2(−2)x+2¿ (−2)¿- x−6¿¿ …一步ﻫ下面小明化简分式得过程,细读,并解所提得问题、=2-4-x-…第三步小明得法从第______ 步始现误,正确得化简结果是______ 、ﻫﻫ24. 已 f(x)=1x(+1),f=11׿¿ 空/f=12(2+1)=12×3,已知f++f…+f(n)=1415,n得值、ﻫﻫﻫ答案1、A 2、B 3、B 4、A 5、C 6、A 7、C 8、1x−1ﻫ9、 -3x−1(或31−x )10、1ﻫ11、xﻫ12、1ﻫ13、114、1x1 5、1ﻫ16、1x+117、a-118、2x−21 9、解:原式=5+(-1)-3 ﻫ=a−2(a+2)a−¿ 20+π-13 ﻫ原式=4a+2¿ a−2¿¿+2(a2)(a+2a−2)-a+2(a+2a−2) =4+2−4−(a2)¿¿ = 1a+2、20、解:原式= 2aa+1-2¿¿•¿¿= 2aa+1-2¿¿= 2a+1、21、解:原式 1+❑√3-1 =❑√3;ﻫ原式=aa+1¿ ¿¿¿-a+1¿¿ ﻫ=1、22、解:原式=2¿¿-a+3¿¿ ﻫ=a−1(a1)(−1) ﻫ=1a+1、2 3、二;1x−2解:原式=×-1 =- ﻫ1-1= ﻫ= 、ﻫ ﻫ于是可得,明解法从第二步出现错,正确得化简果是、 =ﻫ ﻫ= 24、解:∵f()=1xx+1¿ ¿=1x- 1x+1,解得 n=1、∵ff+f+f(n)=1415,∴1- 1n+1=1415,∴f+ff+…+(n)1-12+12-13+13-14 +…+1n- 1n+1=1- 1n+1,故:原分式方程得解为 4、ﻫ

1、当您付费下载文档后,您只拥有了使用权限,并不意味着购买了版权,文档只能用于自身使用,不得用于其他商业用途(如 [转卖]进行直接盈利或[编辑后售卖]进行间接盈利)。
2、本站所有内容均由合作方或网友上传,本站不对文档的完整性、权威性及其观点立场正确性做任何保证或承诺!文档内容仅供研究参考,付费前请自行鉴别。
3、如文档内容存在违规,或者侵犯商业秘密、侵犯著作权等,请点击“违规举报”。

碎片内容

鲁教五四版八年级上2.3分式的加减法检测题(含答案)

领读文化+ 关注
实名认证
内容提供者

传播文化,铸就未来

确认删除?
VIP
微信客服
  • 扫码咨询
会员Q群
  • 会员专属群点击这里加入QQ群
客服邮箱
回到顶部