电脑桌面
添加小米粒文库到电脑桌面
安装后可以在桌面快捷访问

整式的加减运算200道

整式的加减运算200道_第1页
1/13
整式的加减运算200道_第2页
2/13
整式的加减运算200道_第3页
3/13
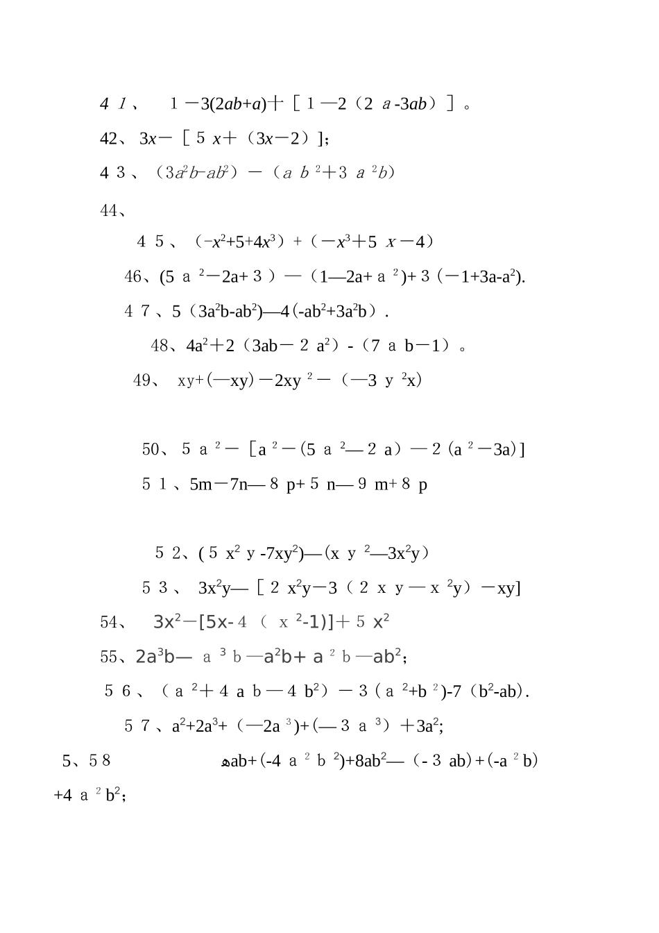
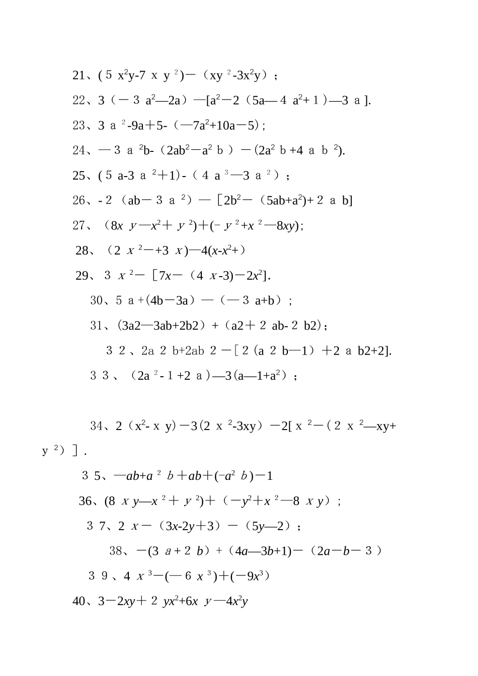
整式得加减专项练习20 0 题1、3(a+5 b)-2(b—a)2、3a—(2 b-a)+b3、2(2 a2+9 b)+3(-5a2—4b)4、(x3-2y3—3 x2y)-(3x 3-3y3-7x2y)5、3 x2-[7 x—(4 x-3)-2 x2]6、(2xy—y)—(—y+yx)7、5(a2b-3ab2)—2(a 2b-7a b) 8、(-2a b+3 a)-2(2a-b)+2ab9、(7m2n-5mn)-(4m2n—5 mn) 10、(5 a2+2a—1)—4(3-8a+2 a2).11、-3x2y+3xy 2+2 x 2y-2x y 2;12、2(a-1)-(2a-3)+3。13、—2(ab-3a2)-[2 b2-(5a b+a 2)+2a b]14、(x 2-xy+y)—3(x 2+x y-2y)1 5、3 x2—[7x-(4x-3)-2x2]16、a2b-[2(a2b-2a2c)-(2 b c+a 2c)];1 7、-2y 3+(3xy2—x2y)-2(xy2-y 3).1 8、2(2 x-3y)-(3x+2y+1)1 9、-(3a 2—4ab)+[a 2—2(2 a+2 a b)].2 0、5m-7n-8p+5n—9m-p;21、(5 x2y-7 x y 2)-(xy 2-3x2y);22、3(-3 a2—2a)—[a2-2(5a—4 a2+1)—3 a].23、3 a2-9a+5-(—7a2+10a-5);24、—3a 2b-(2ab2-a2b)-(2a2b+4 ab 2).25、(5 a-3 a 2+1)-(4 a 3—3 a2);26、-2(ab-3a 2)—[2b2-(5ab+a2)+2a b]27、(8x y—x2+y 2)+(-y2+x 2—8xy); 28、(2 x 2-+3 x)—4(x-x2+) 29、3x 2-[7x-(4 x-3)-2x2]. 30、5 a+(4b-3a)—(—3 a+b); 31、(3a2—3ab+2b2)+(a2+2 ab-2 b2); 32、2a 2 b+2ab 2-[2(a 2 b—1)+2 a b2+2]. 3 3、(2a 2-1+2 a)—3(a—1+a2); 34、2(x2-x y)-3(2 x 2-3xy)-2[x 2-(2x 2—xy+y 2)]. 3 5、—ab+a 2b+ab+(-a2b)-1 36、(8 x y—x 2+y 2)+(-y2+x 2—8 x y); 3 7、2 x-(3x-2y+3)-(5y—2); 38、-(3 a+2 b)+(4a—3b+1)-(2a-b-3) 39、4 x 3-(—6 x 3)+(-9x3)40、3-2xy+2 yx2+6x y—4x2y 4 1、 1-3(2ab+a)十[1—2(2 a-3ab)]。42、 3x-[5 x+(3x-2)]; 4 3、(3a2b-ab2)-(a b 2+3 a 2b)44、 45、(-x2+5+4x3)+(-x3+5 x-4) 46、(5 a 2-2a+3)—(1—2a+a2)+3(-1+3a-a2). 4 7、5(3a2b-ab2)—4(-ab2+3a2b). 48、4a2+2(3ab-2 a2)-(7 a b-1)。 49、 xy+(—xy)-2xy...

1、当您付费下载文档后,您只拥有了使用权限,并不意味着购买了版权,文档只能用于自身使用,不得用于其他商业用途(如 [转卖]进行直接盈利或[编辑后售卖]进行间接盈利)。
2、本站所有内容均由合作方或网友上传,本站不对文档的完整性、权威性及其观点立场正确性做任何保证或承诺!文档内容仅供研究参考,付费前请自行鉴别。
3、如文档内容存在违规,或者侵犯商业秘密、侵犯著作权等,请点击“违规举报”。

碎片内容

整式的加减运算200道

您可能关注的文档

MY shop+ 关注
实名认证
内容提供者

欢迎挑选适合自己的材料。

相关文档

确认删除?
VIP
微信客服
  • 扫码咨询
会员Q群
  • 会员专属群点击这里加入QQ群
客服邮箱
回到顶部