电脑桌面
添加小米粒文库到电脑桌面
安装后可以在桌面快捷访问

商业广场锚索施工方案

商业广场锚索施工方案_第1页
1/8
商业广场锚索施工方案_第2页
2/8
商业广场锚索施工方案_第3页
3/8
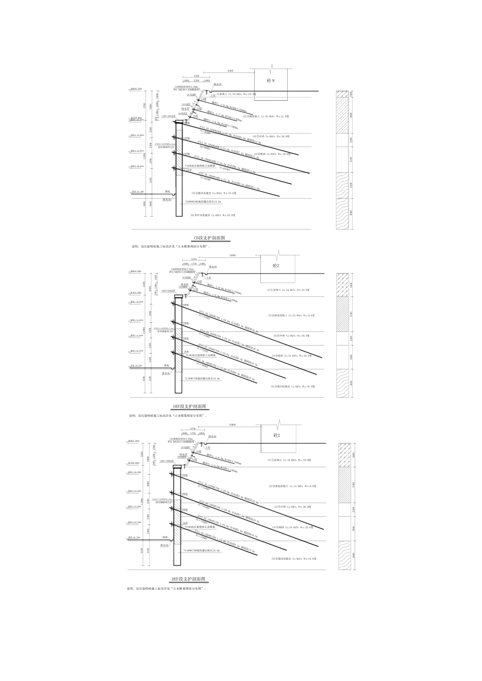
第四节 锚索的主要施工方法一、锚索工程概况本工程基坑支护采纳预应力锚索,锚索锁定在锚梁上,锚梁由 2 根[20 及、[22 槽钢和钢垫板等组成,锚索排距 2.5~3.5m,为 3~4 排,水平距离 1.7~1.9m,锚索孔径为 D130㎜,锚索为 7φ5 钢绞线,锚入深度为 14~28m。锚索设置如下图所示: 图 4.4-1 锚索设计图C20喷射砼厚80±10mm桩间钢板网支护Φ5@50×100厚度60±10mm15度锚杆1:L=6.0m,@1500×1200mm146002000地面42.700m桩顶40.700m支撑1 37.000m支撑2 32.000m普挖 26.100m100001000100030001000排水管1:0.5排水沟土钉Φ6.5@250×250钢筋网5000砼83000AB段支护剖面图说明:高压旋喷桩施工标高详见“止水帷幕埋深分布图”。钢格构立柱一层支撑二层支撑1000×800腰梁?1000钻孔灌注桩立柱桩Φ25@2000钢筋1000×800腰梁?1000@1800旋挖灌注桩长24.6m(1)①杂填土 Ca:10.0kPa Φa:10.0度(2)③粉质粘土 Ca:35.0kPa Φa:21.0度(3)⑤中砂 Ca:0kPa Φa:26.0度(4)⑥砾砂 Ca:0kPa Φa:29.0度(5)⑧强风化板岩 Ca:0kPa Φa:55.0度(6)⑨中风化板岩 Ca:0kPa Φa:65.0度2000570019003900340050005900排水沟基底25005700吊筋Φ25@2000钢筋吊筋150012008004Φ25@2000L500钢筋植筋4Φ25@2000L500钢筋植筋?1200高压旋喷桩止水帷幕桩间钢板网支护Φ5@50×100厚度60±10mmBC段支护剖面图2?15.20,1860@1800 L=21.0m 自由段9.0m 锚固段12.0m15度Nt=324KN3?15.20,1860@1800 L=23.0m 自由段7.5m 锚固段15.5m15度4?15.20,1860@1800 L=20.0m 自由段6.5m 锚固段13.5m15度4?15.20,1860@1800 L=18.0m 自由段6.5m 锚固段11.5m15度(1)①杂填土 Ca:10.0kPa Φa:10.0度(2)③粉质粘土 Ca:35.0kPa Φa:21.0度(3)⑤中砂 Ca:0kPa Φa:26.0度(4)⑥砾砂 Ca:0kPa Φa:29.0度(5)⑧强风化板岩 Ca:0kPa Φa:55.0度(6)⑨中风化板岩 Ca:0kPa Φa:65.0度23501000435020005700190039003400500011900470050002500250025004100地面42.700m桩顶38.000m锚杆1 37.700m锚杆2 35.200m锚杆3 32.700m锚杆4 30.200m普挖 26.100m3900390015度锚杆1:L=6.0m,@1500×1500mm15度锚杆2:L=6.0m,@1500×1300mm15度锚杆3:L=6.0m,@1500×1300mm150013001300600?1200高压旋喷桩止水帷幕Nt=590KNNt=668KNNt=676KN13500混6说明:高压旋喷桩施工标高详见“止水帷幕埋深分布图”。1000?1000@1800旋挖灌注桩长15.8m排水管排水沟基底1:0.5排水沟土钉C20喷射砼...

1、当您付费下载文档后,您只拥有了使用权限,并不意味着购买了版权,文档只能用于自身使用,不得用于其他商业用途(如 [转卖]进行直接盈利或[编辑后售卖]进行间接盈利)。
2、本站所有内容均由合作方或网友上传,本站不对文档的完整性、权威性及其观点立场正确性做任何保证或承诺!文档内容仅供研究参考,付费前请自行鉴别。
3、如文档内容存在违规,或者侵犯商业秘密、侵犯著作权等,请点击“违规举报”。

碎片内容

商业广场锚索施工方案

您可能关注的文档

不二商店+ 关注
实名认证
内容提供者

我是你的不二选择

确认删除?
VIP
微信客服
  • 扫码咨询
会员Q群
  • 会员专属群点击这里加入QQ群
客服邮箱
回到顶部