电脑桌面
添加小米粒文库到电脑桌面
安装后可以在桌面快捷访问

高中数学:2.1《直线的一般式方程》教案苏教版必修2

高中数学:2.1《直线的一般式方程》教案苏教版必修2_第1页
1/3
高中数学:2.1《直线的一般式方程》教案苏教版必修2_第2页
2/3
高中数学:2.1《直线的一般式方程》教案苏教版必修2_第3页
3/3
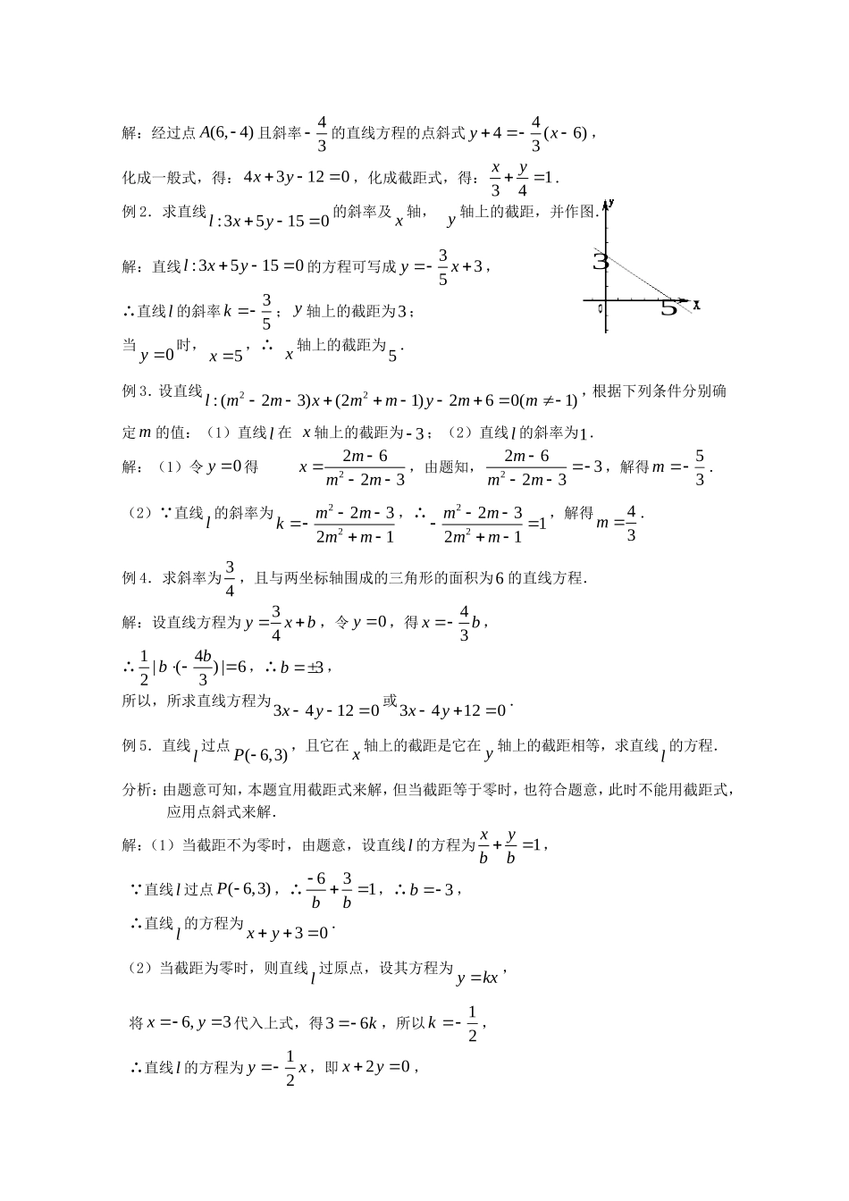
直线的一般式方程教学目标(1)掌握直线方程的一般式0CByAx(,A B 不同时为0 )理解直线方程的一般式包含的两方面的含义:①直线的方程是都是关于 ,x y 的二元一次方程;② 关于 ,x y 的二元一次方程的图形是直线.(2)掌握直线方程的各种形式之间的互相转化.教学重点各种形式之间的互相转化.教学难点理解直线方程的一般式的含义.教学过程一、问题情境1.复习:直线方程的点斜式、斜截式、截距式、两点式方程.2.问题:(1)点斜式、斜截式、截距式、两点式方程是关于 ,x y 的什么方程(二元一次方程)?(2)平面直角坐标系中的每一条直线都可以用关于 ,x y 的二元一次方程表示吗?(3)关于 ,x y 的二元一次方程是否一定表示一条直线?二、建构数学1.一般式(1)直线的方程是都是关于 ,x y 的二元一次方程:在平面直角坐标系中,每一条直线都有倾斜角,在90  和90  两种情况下,直线方程可分别写成 ykxb及1xx 这两种形式,它们又都可变形为0CByAx的形式,且,A B 不同时为0 ,即直线的方程都是关于 ,x y 的二元一次方程.(2)关于 ,x y 的二元一次方程的图形是直线:因为关于 ,x y 的二元一次方程的一般形式为0CByAx,其中,A B 不同时为0 .在0B  和0B  两种情况下,一次方程可分别化成BCxBAy和ACx,它们分别是直线的斜截式方程和与 y 轴平行或重合的直线方程,即每一个二元一次方程的图形都是直线.这 样 我 们 就 建 立 了 直 线 与 关 于,x y 二 元 一 次 方 程 之 间 的 对 应 关 系 . 我 们 把0CByAx(其中,A B 不同时为0 )叫做直线方程的一般式.一般地,需将所求的直线方程化为一般式.三、数学运用1.例题:例 1.已知直线过点(6, 4)A,斜率为43,求该直线的点斜式和一般式方程及截距式方程.解:经过点(6, 4)A且斜率43的直线方程的点斜式44(6)3yx,化成一般式,得:43120xy ,化成截距式,得:134xy .例 2.求直线 :35150lxy 的斜率及 x 轴, y 轴上的截距,并作图.解:直线 :35150lxy 的方程可写成335yx,∴直线l 的斜率35k ; y 轴上的截距为3 ; 当0y  时,5x  ,∴ x 轴上的截距为5 .例 3.设直线22:(23)(21)260(1)lmmxmmymm,根据下列条件分别确定m 的值:(1)...

1、当您付费下载文档后,您只拥有了使用权限,并不意味着购买了版权,文档只能用于自身使用,不得用于其他商业用途(如 [转卖]进行直接盈利或[编辑后售卖]进行间接盈利)。
2、本站所有内容均由合作方或网友上传,本站不对文档的完整性、权威性及其观点立场正确性做任何保证或承诺!文档内容仅供研究参考,付费前请自行鉴别。
3、如文档内容存在违规,或者侵犯商业秘密、侵犯著作权等,请点击“违规举报”。

碎片内容

高中数学:2.1《直线的一般式方程》教案苏教版必修2

您可能关注的文档

文章天下+ 关注
实名认证
内容提供者

各种文档应有尽有

相关文档

确认删除?
VIP
微信客服
  • 扫码咨询
会员Q群
  • 会员专属群点击这里加入QQ群
客服邮箱
回到顶部