电脑桌面
添加小米粒文库到电脑桌面
安装后可以在桌面快捷访问

人大(王燕)时间序列课后习题答案)VIP免费

人大(王燕)时间序列课后习题答案)_第1页
1/8
人大(王燕)时间序列课后习题答案)_第2页
2/8
人大(王燕)时间序列课后习题答案)_第3页
3/8
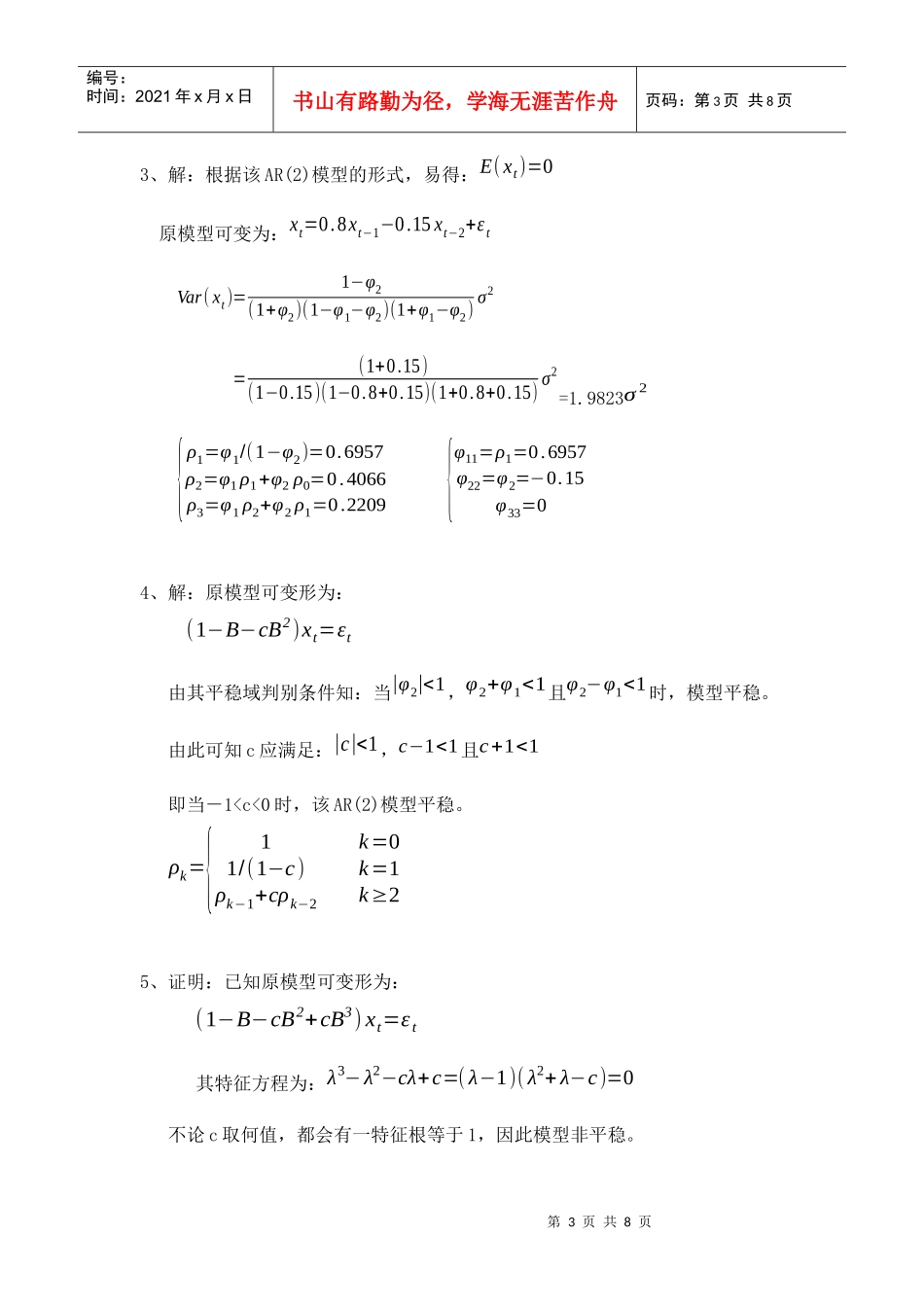
第1页共8页编号:时间:2021年x月x日书山有路勤为径,学海无涯苦作舟页码:第1页共8页人大时间序列课后习题答案第二章P341、(1)因为序列具有明显的趋势,所以序列非平稳。(2)样本自相关系数:^ρk=γ(k)γ(0)≃∑t=1n−k(xt−¯x)(xt+k−¯x)∑t=1n(xt−¯x)2¯x=1n∑t=1nxt=120(1+2+⋯+20)=10.5γ(0)=120∑t=120(xt−¯x)2=35γ(1)=119∑t=119(xt−¯x)(xt+1−¯x)=29.75γ(2)=118∑t=118(xt−¯x)(xt+2−¯x)=25.9167γ(3)=117∑t=117(xt−¯x)(xt+3−¯x)=21.75γ(4)=17.25γ(5)=12.4167γ(6)=7.25ρ1=0.85(0.85)ρ2=0.7405(0.702)ρ3=0.6214(0.556)ρ4=0.4929(0.415)ρ5=0.3548(0.280)ρ6=0.2071(0.153)注:括号内的结果为近似公式所计算。(3)样本自相关图:AutocorrelationPartialCorrelationACPACQ-StatProb.|*******|.|*******|10.8500.85016.7320.000.|*****|.*|.|20.702-0.07628.7610.000.|****|.*|.|30.556-0.07636.7620.000.|***|.*|.|40.415-0.07741.5000.000.|**.|.*|.|50.280-0.07743.8000.000.|*.|.*|.|60.153-0.07844.5330.000.|.|.*|.|70.034-0.07744.5720.000.*|.|.*|.|8-0.074-0.07744.7710.000第2页共8页第1页共8页编号:时间:2021年x月x日书山有路勤为径,学海无涯苦作舟页码:第2页共8页.*|.|.*|.|9-0.170-0.07545.9210.000.**|.|.*|.|10-0.252-0.07248.7130.000.**|.|.*|.|11-0.319-0.06753.6930.000***|.|.*|.|12-0.370-0.06061.2200.000该图的自相关系数衰减为0的速度缓慢,可认为非平稳。4、LB=n(n+2)∑k=1m(^ρk2n−k)LB(6)=1.6747LB(12)=4.9895χ0.052(6)=12.59χ0.052(12)=21.0显然,LB统计量小于对应的临界值,该序列为纯随机序列。第三章P971、解:E(xt)=0.7∗E(xt−1)+E(εt)(1−0.7)E(xt)=0E(xt)=0(1−0.7B)xt=εtxt=(1−0.7B)−1εt=(1+0.7B+0.72B2+⋯)εtVar(xt)=11−0.49σε2=1.9608σε2ρ2=φ12ρ0=0.49φ22=02、解:对于AR(2)模型:{ρ1=φ1ρ0+φ2ρ−1=φ1+φ2ρ1=0.5ρ2=φ1ρ1+φ2ρ0=φ1ρ1+φ2=0.3解得:{φ1=7/15φ2=1/15第3页共8页第2页共8页编号:时间:2021年x月x日书山有路勤为径,学海无涯苦作舟页码:第3页共8页3、解:根据该AR(2)模型的形式,易得:E(xt)=0原模型可变为:xt=0.8xt−1−0.15xt−2+εtVar(xt)=1−φ2(1+φ2)(1−φ1−φ2)(1+φ1−φ2)σ2=(1+0.15)(1−0.15)(1−0.8+0.15)(1+0.8+0.15)σ2=1.9823σ2{ρ1=φ1/(1−φ2)=0.6957ρ2=φ1ρ1+φ2ρ0=0.4066ρ3=φ1ρ2+φ2ρ1=0.2209{φ11=ρ1=0.6957φ22=φ2=−0.15φ33=04、解:原模型可变形为:(1−B−cB2)xt=εt由其平稳域判别条件知:当|φ2|<1,φ2+φ1<1且φ2−φ1<1时,模型平稳。由此可知c应满足:|c|<1,c−1<1且c+1<1即当-1

1、当您付费下载文档后,您只拥有了使用权限,并不意味着购买了版权,文档只能用于自身使用,不得用于其他商业用途(如 [转卖]进行直接盈利或[编辑后售卖]进行间接盈利)。
2、本站所有内容均由合作方或网友上传,本站不对文档的完整性、权威性及其观点立场正确性做任何保证或承诺!文档内容仅供研究参考,付费前请自行鉴别。
3、如文档内容存在违规,或者侵犯商业秘密、侵犯著作权等,请点击“违规举报”。

碎片内容

人大(王燕)时间序列课后习题答案)

您可能关注的文档

确认删除?
微信客服
  • 扫码咨询
会员Q群
  • 会员专属群点击这里加入QQ群