电脑桌面
添加小米粒文库到电脑桌面
安装后可以在桌面快捷访问

指数函数知识点总结31479VIP免费

指数函数知识点总结31479_第1页
1/10
指数函数知识点总结31479_第2页
2/10
指数函数知识点总结31479_第3页
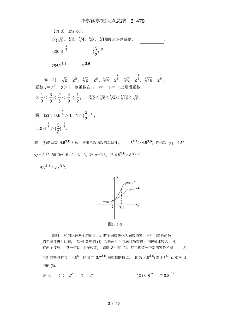
3/10
指数函数知识点总结314791/10指数函数(一)指数与指数幂的运算1.根式的概念:一般地,如果axn,那么x叫做a的n次方根,其中n>1,且n∈N*.负数没有偶次方根;0的任何次方根都是0,记作00n。当n是奇数时,aann,当n是偶数时,)0()0(||aaaaaann2.分数指数幂正数的分数指数幂的意义,规定:)1,,,0(*nNnmaaanmnm)1,,,0(11*nNnmaaaanmnmnm0的正分数指数幂等于0,0的负分数指数幂没有意义3.实数指数幂的运算性质(1)ra·srraa),,0(Rsra;(2)rssraa)(),,0(Rsra;(3)srraaab)(),,0(Rsra.(二)指数函数及其性质1、指数函数的概念:一般地,函数)1,0(aaayx且叫做指数函数,其中x是自变量,函数的定义域为R.注意:指数函数的底数的取值范围,底数不能是负数、零和1.2、指数函数的图象和性质a>10

1、当您付费下载文档后,您只拥有了使用权限,并不意味着购买了版权,文档只能用于自身使用,不得用于其他商业用途(如 [转卖]进行直接盈利或[编辑后售卖]进行间接盈利)。
2、本站所有内容均由合作方或网友上传,本站不对文档的完整性、权威性及其观点立场正确性做任何保证或承诺!文档内容仅供研究参考,付费前请自行鉴别。
3、如文档内容存在违规,或者侵犯商业秘密、侵犯著作权等,请点击“违规举报”。

碎片内容

指数函数知识点总结31479

您可能关注的文档

确认删除?
微信客服
  • 扫码咨询
会员Q群
  • 会员专属群点击这里加入QQ群