电脑桌面
添加小米粒文库到电脑桌面
安装后可以在桌面快捷访问

中山大学信息光学习题课后答案--习题234章作业名师优质资料.docVIP免费

中山大学信息光学习题课后答案--习题234章作业名师优质资料.doc_第1页
1/8
中山大学信息光学习题课后答案--习题234章作业名师优质资料.doc_第2页
2/8
中山大学信息光学习题课后答案--习题234章作业名师优质资料.doc_第3页
3/8
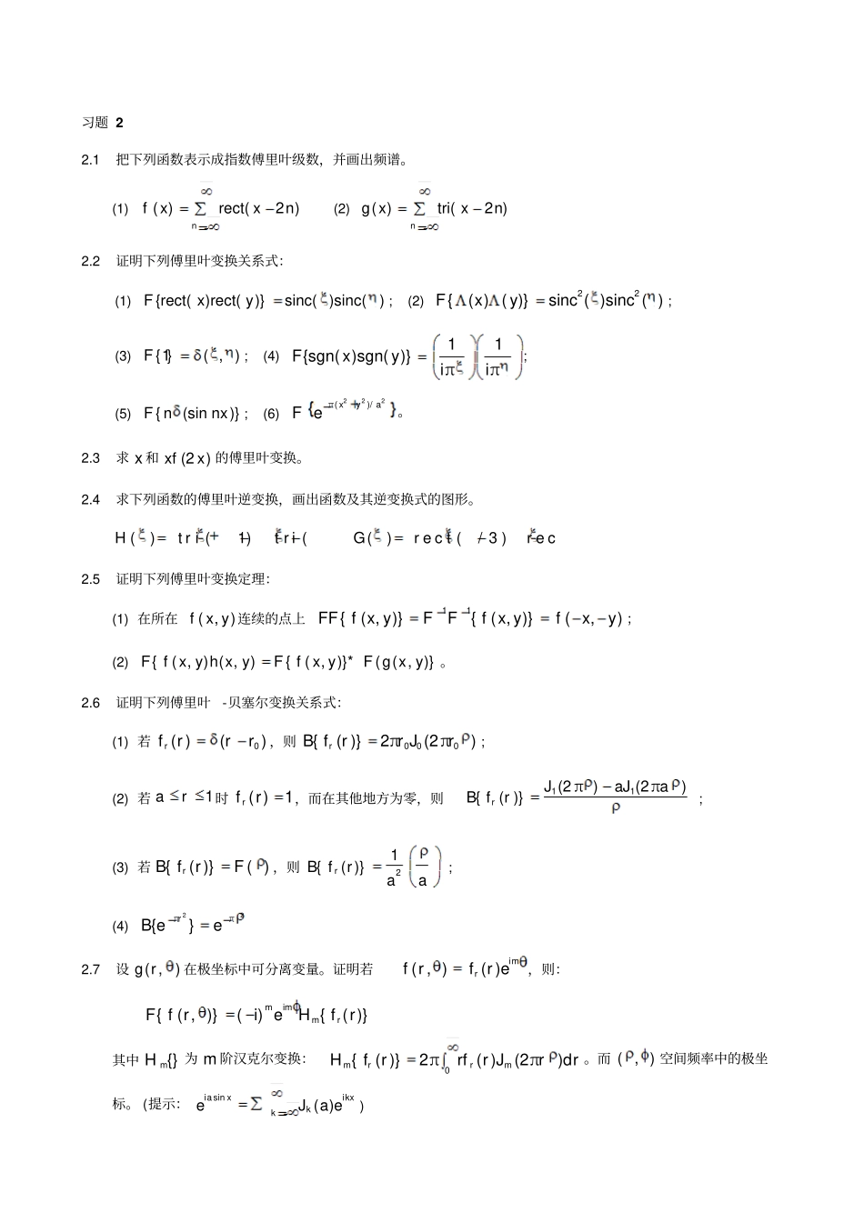
习题22.1把下列函数表示成指数傅里叶级数,并画出频谱。(1)()rect(2)nfxxn(2)()tri(2)ngxxn2.2证明下列傅里叶变换关系式:(1){rect()rect()}sinc()sinc()Fxy;(2)22{()()}sinc()sinc()Fxy;(3){1}(,)F;(4)11{sgn()sgn()}iπiπFxy;(5){(sin)}Fnnx;(6)222π()/exyaF。2.3求x和(2)xfx的傅里叶变换。2.4求下列函数的傅里叶逆变换,画出函数及其逆变换式的图形。()tri(1)tri(H()rect(/3)recG2.5证明下列傅里叶变换定理:(1)在所在(,)fxy连续的点上11{(,)}{(,)}(,)FFfxyFFfxyfxy;(2){(,)(,){(,)}*((,)}FfxyhxyFfxyFgxy。2.6证明下列傅里叶-贝塞尔变换关系式:(1)若0()()rfrrr,则000{()}2πJ(2π)rBfrrr;(2)若1ar时()1rfr,而在其他地方为零,则11J(2π)J(2π){()}raaBfr;(3)若{()}()rBfrF,则21{()}rBfraa;(4)22ππ{e}erB2.7设(,)gr在极坐标中可分离变量。证明若i(,)()emrfrfr,则:i{(,)}(i)eH{()}mmmrFfrfr其中H{}m为m阶汉克尔变换:0{()}2π()J(2π)dmrrmHfrrfrrr。而(,)空间频率中的极坐标。(提示:isinieJ()eaxkxkka)2.8计算下列各式的一维卷积。(1)1rect*(23)2xx(2)3rect*(4)*(1)2xxx(3)1rect*comb()2xx(4)πsinrect()2xx2.9试用卷积定理计算下列各式。(1)sinc()*sinc()xx(2){sinc()sinc(2)}Fxx2.10用宽度为a的狭缝,对平面上强度分布0()2cos(2π)fxx扫描,在狭缝后用光电探测器记录。求输出强度分布。2.11利用梳状函数与矩形函数的卷积表示光栅的透过率。假定缝宽为a,光栅常数为d,缝数为N。2.12计算下面函数的相关。(1)1rect2x★1rect2x(2)tri21x★tri21x2.13应用傅里叶定理求下面积分。(1)2πecos(2π)dxaxx(2)2sinc()sin(π)dxxx2.14求函数()rect()fxx和()tri()fxx的一阶和二阶导数。2.15试求下图所示函数的一维自相关。2.16试计算函数()rect(3)fxx的一阶矩。2.17证明实函数(,)fxy的自相关是实的偶函数,即:(,)(,)ffffRxyRxy。2.18求下列广义函数的傅里叶变换。(1)step()x(2)sgn()x(3)0sin(2π)x2.19求下列函数的傅里叶逆变换,并画出函数及其逆变换式的图形。(1)()tri(1)tri(1)Hxxx(2)()rect(/3)rect()Gxxx2.20表达式(,)(,)*combcombxypxygxyXY定义了一个周期函数,它在x方向上的周期为X,它在y方向上的周期为Y。(a)证明p的傅里叶变换可以写为:(,),,nmnmnmPGXYXY其中G是g的傅里叶变换。(b)当(,)rect2rect2xygxyXY时,画出函数(,)pxy的图形,并求出对应的傅里叶变换(,)P。习题33.1设在一线性系统上加一个正弦输入:(,)cos[2π()]gxyxy,在什么充分条件下,输出是一个空间频率与输入相同的实数值正弦函数?用系统适当的特征表示出输出的振幅和相位。3.2证明零阶贝塞尔函数002J(2π)r是任何具有圆对称脉冲响应的线性不变系统的本征函数。对应的本征值是什么?3.3傅里叶系统算符可以看成是函数到其他变换式的变换,因此它满足本章把提出的关系系统的定义。试问:(a)这个系统是线性的吗?(b)你是否具体给出一个表征这个系统的传递函数?如果能够,它是什么?如果不能,为什么不能?3.4某一成像系统的输入是复数值的物场分布o(,)Uxy,其空间频率含量是无限的,而系统的输出是像场分布i(,)Uxy。可以假定成像系统是一个线性的空间不变换低通滤波器,其传递函数在频域上的区间||xB,||yB之外恒等于零。证明,存在一个由点源的方形阵列所构成的“等效”物体o(,)Uxy,它与真实物体oU产生完全一样的像iU,并且等产供效物体的场分布可写成:o0(,)(,)sinc(2)sinc(2)dd,22XYnmXYnmUxyUnBmBxyBB3.5定义:1(,)dd(0,0)xyfxyxyf,1(,)dd(0,0)FF分别为原函数(,)fxy及其频谱函数(,)F的“等效面积”和“等效带宽”,试证明:1xy上式表明函数的“等效面积”和“等效带宽”成反比,称为傅里叶变换反比定理,亦称面积计算定理。3.6已知线性不变系统的输入为:()comb()fxx。系统的传递函数为rect(/)b。当1b和3b时,求系统的输出()gx,并画出函数及其频谱。3.7对一个线性不变系统,脉冲响应为:()7sinc(7)hxx用频率域方法对下列的每一个输入()ifx,求其输出()igx(必要时,可取合理近似):(1)1()cos4πfxx(2)2()cos(4π)rect(/75)fxxx(3)3()[1cos(8π)]rect(/75)fxxx(4)4()comb()*rect(2)fxxx3.8给定正...

1、当您付费下载文档后,您只拥有了使用权限,并不意味着购买了版权,文档只能用于自身使用,不得用于其他商业用途(如 [转卖]进行直接盈利或[编辑后售卖]进行间接盈利)。
2、本站所有内容均由合作方或网友上传,本站不对文档的完整性、权威性及其观点立场正确性做任何保证或承诺!文档内容仅供研究参考,付费前请自行鉴别。
3、如文档内容存在违规,或者侵犯商业秘密、侵犯著作权等,请点击“违规举报”。

碎片内容

中山大学信息光学习题课后答案--习题234章作业名师优质资料.doc

确认删除?
VIP
微信客服
  • 扫码咨询
会员Q群
  • 会员专属群点击这里加入QQ群
客服邮箱
回到顶部