电脑桌面
添加小米粒文库到电脑桌面
安装后可以在桌面快捷访问

八年级人教版下册第十六章二次根式典型例题VIP免费

八年级人教版下册第十六章二次根式典型例题_第1页
1/4
八年级人教版下册第十六章二次根式典型例题_第2页
2/4
八年级人教版下册第十六章二次根式典型例题_第3页
3/4
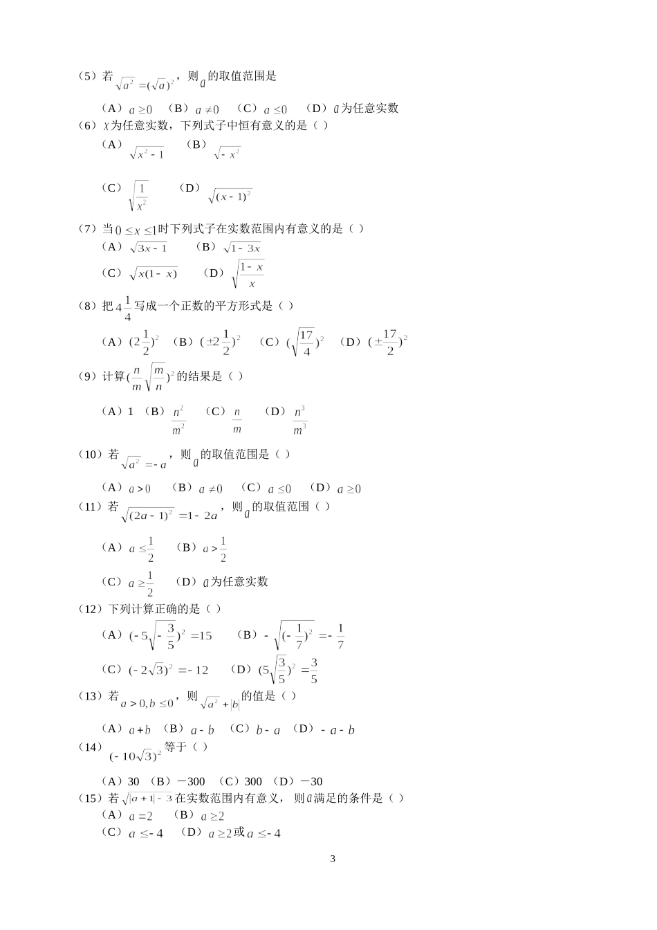
八年级二次根式典型题训练典型例题一例01.在下列各式中,m的取值范围不是全体实数的是()A.B.C.D.分析不论m为任何实数,A、C、D中被开方数的值都不是负数.说明考查二次根式的意义.只要理解了二次根式的意义,记住在时,式子才有意义,这样的题目都不在话下.例02.是二次根式,则x、y应满足的条件是()A.且B.C.且D.分析要使有意义,则被开方数是非负数.应满足条件是且或,.说明式子叫做二次根式,a可以是数,也可以是式子,但a必须是非负数.例03.判断下列根式是否二次根式:(1);(2)(3)(4)(5)(6)(7)(8)说明判定一个式子是否二次根式,主要观察两方面:第一,被开方数是否非负;第二,是否为二次根式.例04.求使有意义的x的取值范围.说明本题主要考察二次根式的基本概念,要弄清每一个数学表达式的含义.根据二次根式的意义求解.例05.在实数范围内分解因式:(1)(2)(3)例06.若x,y为实数,且,则.例07.求的值.例08.当x取什么值时,取值最小,并求出这个最小值.例09.已知m是的整数部分,n是的小数部分,计算的值.说明一部分学生总是想求13的算术平方根,在不允许查表的情况下,尽管可知的整数部分是3,但不易知道的小数部分,从而陷入误区.而忽视了由可求出的小数部分n.1练习:1.填空题(1)当______时,是二次根式.(2)_______.(3)把7写成一个数的平方得_______.(4)在实数范围内因式分解_____.(5)________.(6)若不是二次根式,则取值范围是_______.(7).(8)当______时,无意义.2.填空题(1)把写成非整数平方的形式为______.(2)有意义时,的取值范围是________.(3)在实数范围内因式分解________.(4)计算:_______.(5)式子有意义,为________.3.填空题(1)计算:_________.(2)当______时,有意义.(3)在实数范围内因式分解:_________.(4)若有意义,则的取值范围是_______.(5)在实数范围内因式分解:_______.作业:选择题一.选择题(1)下列各式中一定是二次根式的是(A)(B)(C)(D)(2)式子在实数范围内有意义,则的取值范围是(A)(B)(C)(D)(3)当时,在实数范围内没有意义的式子是(A)(B)(C)(D)(4)若是二次根式,则应满足的条件是(A)(B)(C)(D)2(5)若,则的取值范围是(A)(B)(C)(D)为任意实数(6)为任意实数,下列式子中恒有意义的是()(A)(B)(C)(D)(7)当时下列式子在实数范围内有意义的是()(A)(B)(C)(D)(8)把写成一个正数的平方形式是()(A)(B)(C)(D)(9)计算的结果是()(A)1(B)(C)(D)(10)若,则的取值范围是()(A)(B)(C)(D)(11)若,则的取值范围()(A)(B)(C)(D)为任意实数(12)下列计算正确的是()(A)(B)(C)(D)(13)若,则的值是()(A)(B)(C)(D)(14)等于()(A)30(B)-300(C)300(D)-30(15)若在实数范围内有意义,则满足的条件是()(A)(B)(C)(D)或3(16)若,则的取值范围是()(A)(B)(C)(D)二.解答题1.计算题(1)(2)(3)(4)(5)(6)(7)(8)2.求下列各式有意义,取值范围(1)(2)(3)(4)(5)(6)3.在实数范围内因式分解(1)(2)4.求下列各式的值(1),其中(2),其中5.求为何值时,下列各式有意义(1)(2)(3)(4)6.求值(1),其中(2),其中4

1、当您付费下载文档后,您只拥有了使用权限,并不意味着购买了版权,文档只能用于自身使用,不得用于其他商业用途(如 [转卖]进行直接盈利或[编辑后售卖]进行间接盈利)。
2、本站所有内容均由合作方或网友上传,本站不对文档的完整性、权威性及其观点立场正确性做任何保证或承诺!文档内容仅供研究参考,付费前请自行鉴别。
3、如文档内容存在违规,或者侵犯商业秘密、侵犯著作权等,请点击“违规举报”。

碎片内容

八年级人教版下册第十六章二次根式典型例题

您可能关注的文档

确认删除?
VIP
微信客服
  • 扫码咨询
会员Q群
  • 会员专属群点击这里加入QQ群
客服邮箱
回到顶部