电脑桌面
添加小米粒文库到电脑桌面
安装后可以在桌面快捷访问

初中生学习英语的方法VIP专享VIP免费

初中生学习英语的方法_第1页
1/7
初中生学习英语的方法_第2页
2/7
初中生学习英语的方法_第3页
3/7
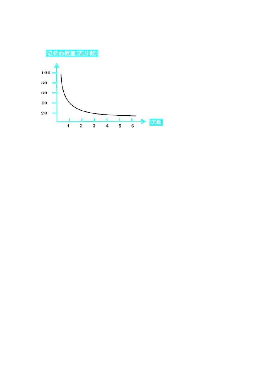
初中生学习英语的方法一、兴趣爱因斯坦说:“兴趣是最好的老师。”兴趣是可以慢慢培养的,你们正处于特殊时期,对应于的兴趣大多是在这时期形成的。没有兴趣或失去兴趣有两个原因:一是缺乏了解,有畏难或抵触情绪;二是因为没有体验到成功的乐趣。所以,不同的人应该有不同的对策。首先,打消“英语不好学”的念头和抵触情绪,其次树立信心。汉字比英语难学多了,外国人都能学好所以你们也应该树立信心。提高英语的兴趣的方法:选择自己喜欢的电影、电视、歌曲的英文版来看和听。二、记忆单词单词是英语学习的基础。大家很头疼语法和背单词,但是没有语法只能传达很少的信息,没有词汇则什么也无法传达。对于很多人来说,背单词很累而且又非常容易忘记。事实上,记忆单词有很多误区。死记硬背是最不可取的,有的人,一背单词就拿笔写个几十遍。背了一个小时也没记住几个。单词有成千上万个,任何一种记忆方法只能适应于一部分单词。至于哪个单词应该用哪种方法记忆,应该在学习中探索。下面是几种记忆单词的方法。①归类记忆法:在记忆单词时,有目的地进行单词整理,利用平时空闲的时间进行专项的单词记忆。如体育项目类:tabletennis,badminton,volleyball,football,basketballetc②读音汉化法:有些单词的英文发音与中文相似,记忆时可以联想中文。如:kungfu,tofu,peking,sofa③前缀后缀记忆法:在英语词汇中绝大多数都是由前缀+词干+后缀构成。词干和前缀主要表示一个单词的意义和逻辑关系,后缀主要表示一个单词的词性。一.常见的前缀1.表示否定意义的前缀1)纯否定前缀a-,an-,ab-,abnormal(不正常的)dis-dishonest,dislikein-,ig-,il,im,ir,incapable,inability,ignoble,impossible,immoral,illegal,irregularun-unable,unemployment2)表示反义词的意思dis-,disarm,disconnectun-,unload,uncover2.表示空间位置,方向关系的前缀1)out-,表示“在上面,在外部,在外”outline,outside,outward2)over-,表示“在上面,在外部,向上”overlook,overhead,overboard3)under-,表示“在…..下面,下的”underline,underground,underwater4)up-,表示“向上,向上面,在上”upward,uphold,uphill(上坡)3.表示特殊意义的前缀1)auto-,表示“自己,独立,自动”automobile,autobiography2)semi-,表示“半”semicircle3)micro-,表示“微”microscope二.常见的后缀1.名词后缀(1)具有某种职业或动作的人1)-an,-ain,表示"……地方的人,精通……的人”American,historian,2)-ese,表示"……国人,…..地方的人”Japanese,Cantonese3)-eer,表示"从事于……人"engineer,volunteer4)-logist,表示"……学家,研究者"biologist,geologist(地质学家)5)-or,表示"……者"author,doctor,operator,(2).构成,具有抽象名词的含义1)-ness,表示"性质,状态,程度"goodness,kindness,tiredness,friendliness2)-ship,表示"情况,性质,技巧,技能及身份,职业”hardship,membership,friendship2.形容词后缀(1)带有“属性,倾向,相关”的含义1)-able,-ible,movable,comfortable,applicable,visible,responsible2)-ish,foolish,bookish,selfish(2)表示方向的含义1)-ern,eastern,western2)-ward,downward,forward(3)其他的含义-less,表示否定,countless,stainless,wireless3.动词后缀1)-ize,ise,表示"做成,变成,……化“modernize,mechanize,democratize,organize2)-en,表示"使成为,引起,使有”quicken,weaken,soften,harden3)-fy,表示"使……化,使成”beautify,purify,intensify,signify,simplify4)-ish,表示"使,令”finish,abolish,diminish,establish5)-ate,表示“成为……,处理,作用”separate,operate,indicate4.副词后缀1)-ly,possibly,swiftly,simply2)-ward,-wards,downward,inwards,upward3)-ways,always,sideways4)-wise,otherwise,clockwis④艾宾浩斯记忆曲线一、复习点的确定(根据艾宾浩斯记忆曲线制定):1.第一个记忆周期:5分钟2.第二个记忆周期:30分钟3.第三个记忆周期:12小时4.第四个记忆周期:1天5.第五个记忆周期:2天6.第六个记忆周期:4天7.第七个记忆周期:7天...

1、当您付费下载文档后,您只拥有了使用权限,并不意味着购买了版权,文档只能用于自身使用,不得用于其他商业用途(如 [转卖]进行直接盈利或[编辑后售卖]进行间接盈利)。
2、本站所有内容均由合作方或网友上传,本站不对文档的完整性、权威性及其观点立场正确性做任何保证或承诺!文档内容仅供研究参考,付费前请自行鉴别。
3、如文档内容存在违规,或者侵犯商业秘密、侵犯著作权等,请点击“违规举报”。

碎片内容

初中生学习英语的方法

您可能关注的文档

确认删除?
VIP
微信客服
  • 扫码咨询
会员Q群
  • 会员专属群点击这里加入QQ群
客服邮箱
回到顶部