电脑桌面
添加小米粒文库到电脑桌面
安装后可以在桌面快捷访问

幂的乘方周清VIP免费

幂的乘方周清_第1页
1/3
幂的乘方周清_第2页
2/3
幂的乘方周清_第3页
3/3
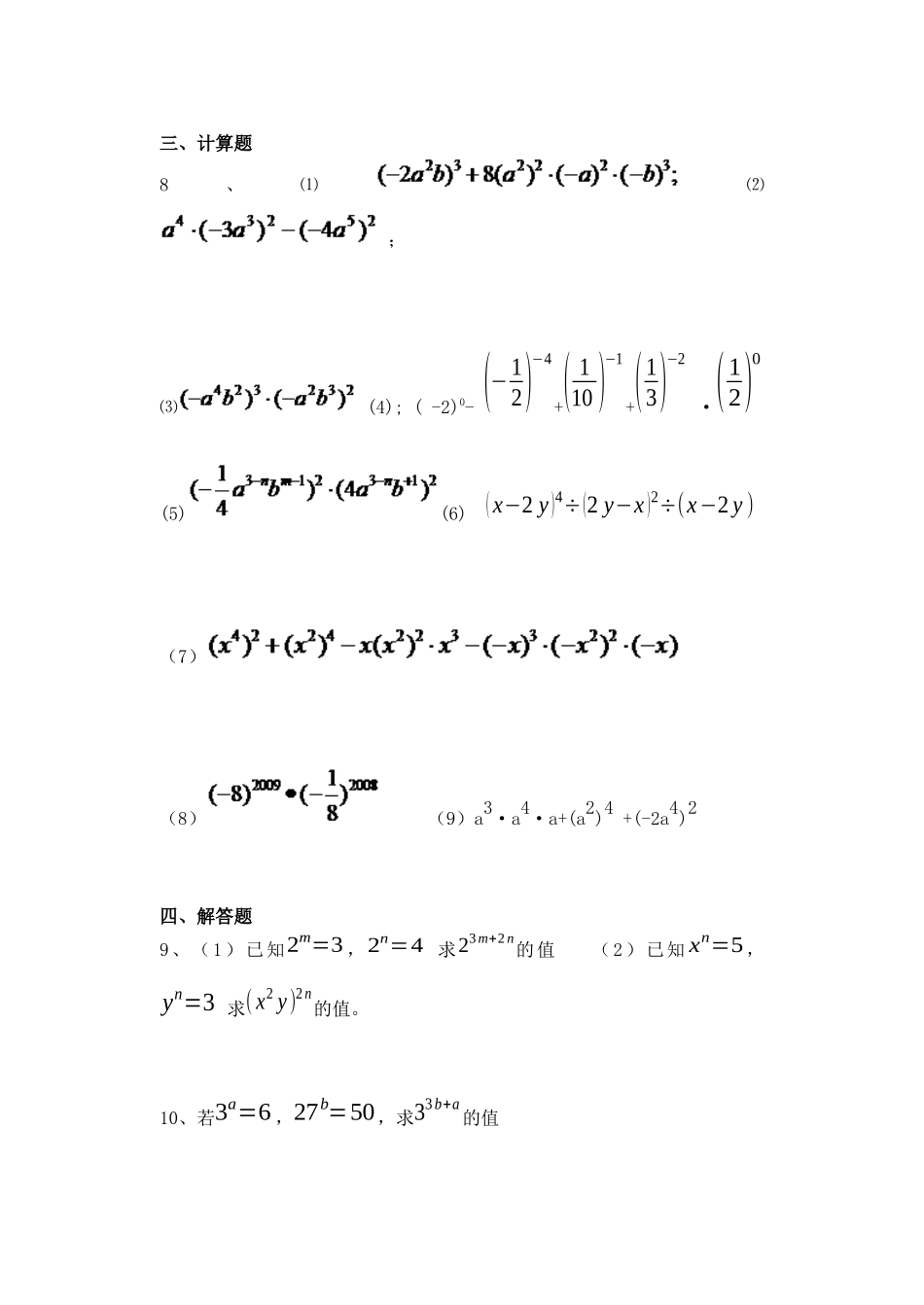
第一周周清(整式的乘除1)姓名:班级:等级:一、填空:1、(1)106×104=(2)(−13)2×(−13)6=(3)b2⋅b3⋅b=(4)y2=y5(5)=___,=__.2、-(b2)5=________;[(-n)3]3=________.(3a2)3+(a2)2·a2=________.3、(1)(a3)4表示.(2)(x4)3=.(3)(y3)2+(y2)3=.(4)(−a3)2⋅(−a2)3=.二、选择题4、下列计算:①(-3xy)3=-9x3y3;②(-2a7b2)5=-10·a12b10;③27×3n=3n+3;④2(-x2)-(3x)2=-8x2;⑤(94)3=324.其中错误的个数有().A.4个B.3个C.2个D.1个5、若m为正整数,且a=-1,则−(−a2m)2m+1的值是().A.1B.-1C.0D.1或-16、(-a5)2+(-a2)5的结果是().A.−2a7B.0C.2a10D.−2a107、已知,则a、b、c的大小关系是()A.b>c>aB.a>b>cC.c>a>bD.a

1、当您付费下载文档后,您只拥有了使用权限,并不意味着购买了版权,文档只能用于自身使用,不得用于其他商业用途(如 [转卖]进行直接盈利或[编辑后售卖]进行间接盈利)。
2、本站所有内容均由合作方或网友上传,本站不对文档的完整性、权威性及其观点立场正确性做任何保证或承诺!文档内容仅供研究参考,付费前请自行鉴别。
3、如文档内容存在违规,或者侵犯商业秘密、侵犯著作权等,请点击“违规举报”。

碎片内容

幂的乘方周清

您可能关注的文档

精品文库+ 关注
实名认证
内容提供者

中小学课件教案大全

相关文档

相关标签

确认删除?
微信客服
  • 扫码咨询
会员Q群
  • 会员专属群点击这里加入QQ群