电脑桌面
添加小米粒文库到电脑桌面
安装后可以在桌面快捷访问

高三数学(理)两角和与差的三角函数、二倍角的正弦、余弦和正切知识精讲人教版VIP免费

高三数学(理)两角和与差的三角函数、二倍角的正弦、余弦和正切知识精讲人教版_第1页
1/8
高三数学(理)两角和与差的三角函数、二倍角的正弦、余弦和正切知识精讲人教版_第2页
2/8
高三数学(理)两角和与差的三角函数、二倍角的正弦、余弦和正切知识精讲人教版_第3页
3/8
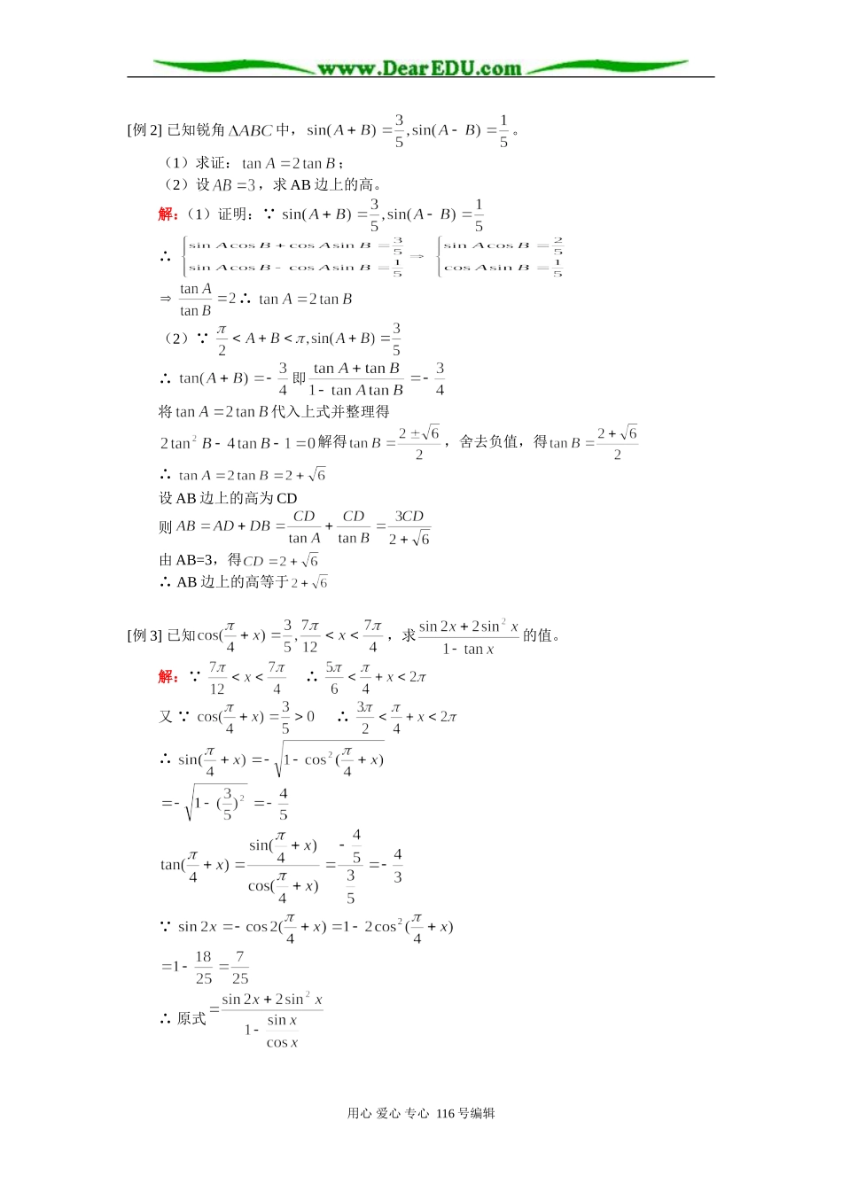
高三数学(理)两角和与差的三角函数、二倍角的正弦、余弦和正切知识精讲人教版一.教学内容:两角和与差的三角函数,二倍角的正弦,余弦和正切二.重点、难点:1.掌握两角和与差的正弦、余弦、正切公式;能正确运用上述公式,进行简单三角函数的化简、求值和恒等式的证明。2.掌握二倍角的正弦、余弦、正切公式;能正确运用上述公式,进行简单三角函数式的化简、求值和恒等式的证明。【典型例题】[例1](1)已知,,其中,,求的值;(2)已知都是锐角,且,,求。解:(1)∵∴∴∴(2)∵∴又∵∴又∵在之间,余弦值为的角只有,∴用心爱心专心116号编辑[例2]已知锐角中,。(1)求证:;(2)设,求AB边上的高。解:(1)证明:∵∴∴(2)∵∴即将代入上式并整理得解得,舍去负值,得∴设AB边上的高为CD则由AB=3,得∴AB边上的高等于[例3]已知,求的值。解:∵∴又∵∴∴∵∴原式用心爱心专心116号编辑[例4]已知三点A()、B()、C()。若向量(为常数且),求的最大值、最小值及相应的值。解:由已知移项得两式平方,整理有∴∵∴当时,有最大值又∵,故有最小值为,此时解得或综上所述,当时,有最大值,当或时,有最小值。[例5]已知,。(1)求及;(2)若的最小值是,求的值。解:(1)(∵)(2)∵∴①当时,,矛盾②当时,,由,得③当,时,,由,得,矛盾。用心爱心专心116号编辑综上,为所求[例6]设,,,与的夹角为,与的夹角为2,,求的值。解:根据题意,而∴同理,,而,∴将代入,得∴[例7]如图,在直径为1的圆O中,作一关于圆心对称、邻边互相垂直的十字形,其中。(1)将十字形的面积表示为函数;(2)为何值时,十字形的面积最大?最大面积是多少?解:(1)设S为十字形的面积,则(2)方法一:其中用心爱心专心116号编辑当,即时,S最大所以当时,S最大,S的最大值为方法二:因为所以令,即可解得所以当时,S最大,S的最大值为【模拟试题】一.选择题:1.已知,则的取值范围是()A.B.C.D.2.的值是()A.B.C.D.13.要使有意义,则应有()A.B.C.或D.4.等于()A.B.C.1D.5.已知,则等于()A.B.C.D.6.在中,若,则是()A.直角三角形B.等边三角形C.钝角三角形D.等腰直角三角形7.已知,当时,可化简为()A.B.C.D.8.若,则的值是()A.B.C.D.1用心爱心专心116号编辑二.解析题:1.已知,。(1)求的值;(2)求满足的锐角2.如图所示,有一块以点O为圆心的半圆形空地,要在这块空地上划出一个内接矩形ABCD辟为绿地,使其一边AD落在圆的直径上,另两点B、C落在半圆的圆周上,已知半圆的半径长为,如何选择关于点O对称的点A、D的位置,可以使矩形ABCD的面积最大?3.已知为锐角,且,,试求的值。用心爱心专心116号编辑[参考答案]一.1.D解析:设,两式相加得由,得,两式相减,得,由,得∴2.B解析:原式3.D解析:由4.B解析:5.B解析:∴∵在第一或第三象限,则在第一或第二象限又∵∴在第二象限,故6.B解析:由,得又∴∴∴,A=B,同理B=C∴是等边三角形7.D解:∵用心爱心专心116号编辑∴∴,∴原式8.B解析:二.1.解析:(1)因为,所以所以由所以(2)因为所以所以因为为锐角,所以2.解析:如图所示,令,则,则矩形ABCD的面积为其中“”中等号成立的充要条件是,即于是时,S为最大不难得到,这时A、D两点与O的距离都是3.解析:由题意知∵∴∴,(1)÷(2),,即又∵∴∴∴∴∴用心爱心专心116号编辑

1、当您付费下载文档后,您只拥有了使用权限,并不意味着购买了版权,文档只能用于自身使用,不得用于其他商业用途(如 [转卖]进行直接盈利或[编辑后售卖]进行间接盈利)。
2、本站所有内容均由合作方或网友上传,本站不对文档的完整性、权威性及其观点立场正确性做任何保证或承诺!文档内容仅供研究参考,付费前请自行鉴别。
3、如文档内容存在违规,或者侵犯商业秘密、侵犯著作权等,请点击“违规举报”。

碎片内容

高三数学(理)两角和与差的三角函数、二倍角的正弦、余弦和正切知识精讲人教版

您可能关注的文档

慧源书店+ 关注
实名认证
内容提供者

从事历史教学,热爱教育,高度负责。

相关文档

确认删除?
VIP
微信客服
  • 扫码咨询
会员Q群
  • 会员专属群点击这里加入QQ群
客服邮箱
回到顶部