电脑桌面
添加小米粒文库到电脑桌面
安装后可以在桌面快捷访问

高三数学综合练习题(3)(代数部分)VIP免费

高三数学综合练习题(3)(代数部分)_第1页
1/4
高三数学综合练习题(3)(代数部分)_第2页
2/4
高三数学综合练习题(3)(代数部分)_第3页
3/4
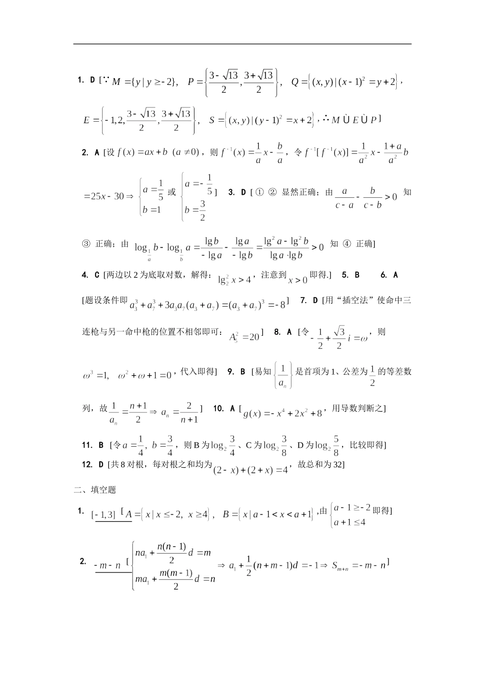
代数综合练习题(3)一、选择题1.已知,且有集合,,则()A.B.C.D.2.是一次函数,且,则()A.或B.或C.或D.或3.考查以下命题:①;②;③;④.其中正确命题的个数是()A.1B.2C.3D.44.不等式的解区间是()A.B.C.D.5.若,则()A.2或B.C.2D.6.等比数列中,若,则()A.-2B.-1C.1D.27.某人射击8枪,命中4枪,则他命中的4枪恰有3枪连在一起的可能共有()种.A.720B.480C.24D.208.【文科不做】若,则()A.128B.-128C.64D.-649.数列中,,且,则()A.B.C.D.10.已知,若,则()A.在区间(-1,0)上是减函数B.在区间(0,1)上是减函数C.在区间(-2,0)上是增函数D.在区间(0,2)上是增函数11.若,且,则以下最大的数是()A.-1B.C.D.12.已知,且恰有16个根,则这16个根的和等于()A.0B.8C.16D.32二、填空题1.函数的定义域为,的定义域为,若,则的取值范围是2.等差数列的,且,则3.已知,如果和展开式的含项的系数相等,则4.方程共有组正整数解.三、解答题1.设数列的前项和,把分组如下:()、()、(),……求第8组各项的和.2.设的两根为、⑴求的取值范围;⑵把表示成的函数,并求这个函数的值域.【代数综合练习题(3)答案】一、选择题DADCBADABABD1.D[∵,,∴]2.A[设,则,令或]3.D[①②显然正确;由知③正确;由知④正确]4.C[两边以2为底取对数,解得:,注意到即得.]5.B6.A[题设条件即]7.D[用“插空法”使命中三连枪与另一命中枪的位置不相邻即可:]8.A[令,则,代入即得]9.B[易知是首项为1、公差为的等差数列,故]10.A[,用导数判断之]11.B[令,则B为、C为、D为,比较即得]12.D[共8对根,每对根之和均为,故总和为32]二、填空题1.[,由即得]2.[]3.[由]4.35[分5类:①1,1,1,5有组;②1,1,2,4有组;③1,1,3,3有组;④1,2,2,3有组;⑤2,2,2,2为1组,共组.]三、解答题1.由已知,第8组为中的连续8项,其第一项为,故这连续8项的和10482.⑴∵方程有两实根、,∴..⑵.∴(且)由-2得或,即函数(且)的值域为.

1、当您付费下载文档后,您只拥有了使用权限,并不意味着购买了版权,文档只能用于自身使用,不得用于其他商业用途(如 [转卖]进行直接盈利或[编辑后售卖]进行间接盈利)。
2、本站所有内容均由合作方或网友上传,本站不对文档的完整性、权威性及其观点立场正确性做任何保证或承诺!文档内容仅供研究参考,付费前请自行鉴别。
3、如文档内容存在违规,或者侵犯商业秘密、侵犯著作权等,请点击“违规举报”。

碎片内容

高三数学综合练习题(3)(代数部分)

慧源书店+ 关注
实名认证
内容提供者

从事历史教学,热爱教育,高度负责。

确认删除?
VIP
微信客服
  • 扫码咨询
会员Q群
  • 会员专属群点击这里加入QQ群
客服邮箱
回到顶部