电脑桌面
添加小米粒文库到电脑桌面
安装后可以在桌面快捷访问

高三数学必做三角综合题(1)VIP免费

高三数学必做三角综合题(1)_第1页
1/5
高三数学必做三角综合题(1)_第2页
2/5
高三数学必做三角综合题(1)_第3页
3/5
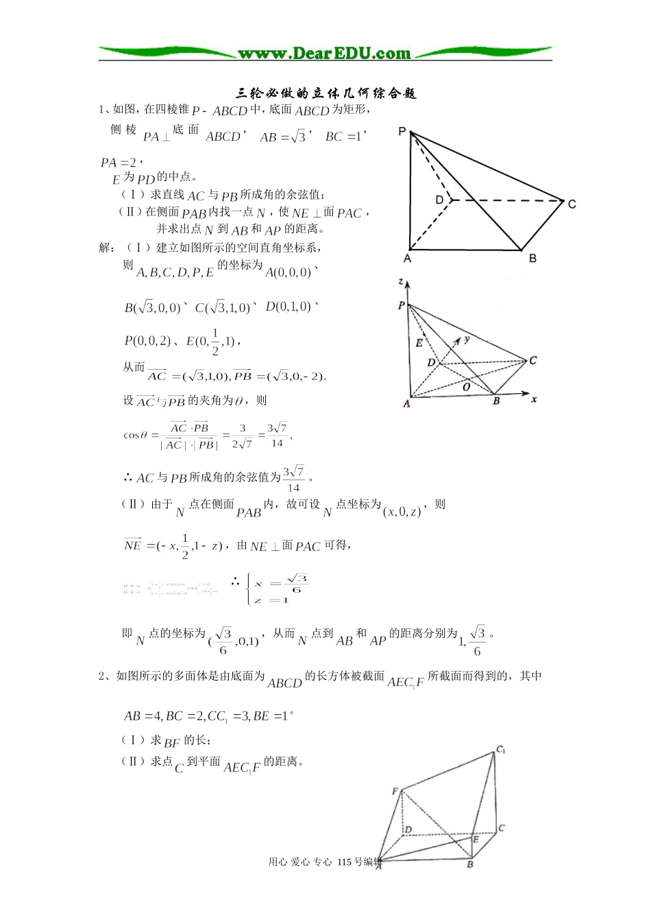
三轮必做的立体几何综合题1、如图,在四棱锥中,底面为矩形,侧棱底面,,,,为的中点。(Ⅰ)求直线与所成角的余弦值;(Ⅱ)在侧面内找一点,使面,并求出点到和的距离。解:(Ⅰ)建立如图所示的空间直角坐标系,则的坐标为、、、、、,从而设的夹角为,则∴与所成角的余弦值为。(Ⅱ)由于点在侧面内,故可设点坐标为,则,由面可得,∴即点的坐标为,从而点到和的距离分别为。2、如图所示的多面体是由底面为的长方体被截面所截面而得到的,其中。(Ⅰ)求的长;(Ⅱ)求点到平面的距离。用心爱心专心115号编辑解:(I)建立如图所示的空间直角坐标系,则,设∵为平行四边形,(II)设为平面的法向量,的夹角为,则∴到平面的距离为3、如图,已知正三棱柱—的底面边长是,是侧棱的中点,直线与用心爱心专心115号编辑侧面所成的角为.(Ⅰ)求此正三棱柱的侧棱长;(Ⅱ)求二面角的大小;(Ⅲ)求点到平面的距离.解:(Ⅰ)设正三棱柱—的侧棱长为.取中点,连.是正三角形,.又底面侧面,且交线为.侧面.连,则直线与侧面所成的角为.在中,,解得.此正三棱柱的侧棱长为.注:也可用向量法求侧棱长.(Ⅱ)解法1:过作于,连,侧面.为二面角的平面角.在中,,又,.又在中,.故二面角的大小为.解法2:(向量法,见后)(Ⅲ)解法1:由(Ⅱ)可知,平面,平面平面,且交线为,过作于,则平面.用心爱心专心115号编辑ABCD1A1B1CEFGHI在中,.为中点,点到平面的距离为.解法2:(思路)取中点,连和,由,易得平面平面,且交线为.过点作于,则的长为点到平面的距离.解法3:(思路)等体积变换:由可求.解法4:(向量法,见后)题(Ⅱ)、(Ⅲ)的向量解法:(Ⅱ)解法2:如图,建立空间直角坐标系.则.设为平面的法向量.由得.取…………6分又平面的一个法向量…………7分.结合图形可知,二面角的大小为.(Ⅲ)解法4:由(Ⅱ)解法2,点到平面的距离=.16.一个几何体的三视图如右图所示,其中正视图和侧视图是腰长为6的两个全等的等腰直角三角形.(Ⅰ)请画出该几何体的直观图,并求出它的体积;(Ⅱ)用多少个这样的几何体可以拼成一个棱长为6的正方体ABCD—A1B1C1D1?如何组拼?试证明你的结论;用心爱心专心115号编辑ABCD1A1B1Cxyzo正视图侧视图俯视图(Ⅲ)在(Ⅱ)的情形下,设正方体ABCD—A1B1C1D1的棱CC1的中点为E,求平面AB1E与平面ABC所成二面角的余弦值.解:(Ⅰ)该几何体的直观图如图1所示,它是有一条侧棱垂直于底面的四棱锥.其中底面ABCD是边长为6的正方形,高为CC1=6,故所求体积是(Ⅱ)依题意,正方体的体积是原四棱锥体积的3倍,故用3个这样的四棱锥可以拼成一个棱长为6的正方体,其拼法如图2所示.证明:∵面ABCD、面ABB1A1、面AA1D1D为全等的正方形,于是故所拼图形成立.(Ⅲ)方法一:设B1E,BC的延长线交于点G,连结GA,在底面ABC内作BH⊥AG,垂足为H,连结HB1,则B1H⊥AG,故∠B1HB为平面AB1E与平面ABC所成二面角或其补角的平面角.在Rt△ABG中,,则,,,故平面AB1E与平面ABC所成二面角的余弦值为.-方法二:以C为原点,CD、CB、CC1所在直线分别为x、y、z轴建立直角坐标系(如图3),∵正方体棱长为6,则E(0,0,3),B1(0,6,6),A(6,6,0).设向量n=(x,y,z),满足n⊥,n⊥,于是,解得.取z=2,得n=(2,-1,2).又(0,0,6),故平面AB1E与平面ABC所成二面角的余弦值为.用心爱心专心115号编辑ABCDC1图1ABCDD1A1B1C1图2ABCDD1A1B1C1EHxyzG图3

1、当您付费下载文档后,您只拥有了使用权限,并不意味着购买了版权,文档只能用于自身使用,不得用于其他商业用途(如 [转卖]进行直接盈利或[编辑后售卖]进行间接盈利)。
2、本站所有内容均由合作方或网友上传,本站不对文档的完整性、权威性及其观点立场正确性做任何保证或承诺!文档内容仅供研究参考,付费前请自行鉴别。
3、如文档内容存在违规,或者侵犯商业秘密、侵犯著作权等,请点击“违规举报”。

碎片内容

高三数学必做三角综合题(1)

您可能关注的文档

慧源书店+ 关注
实名认证
内容提供者

从事历史教学,热爱教育,高度负责。

确认删除?
VIP
微信客服
  • 扫码咨询
会员Q群
  • 会员专属群点击这里加入QQ群
客服邮箱
回到顶部