电脑桌面
添加小米粒文库到电脑桌面
安装后可以在桌面快捷访问

高三数学函数部分:函数的值域(四)VIP免费

高三数学函数部分:函数的值域(四)_第1页
1/1
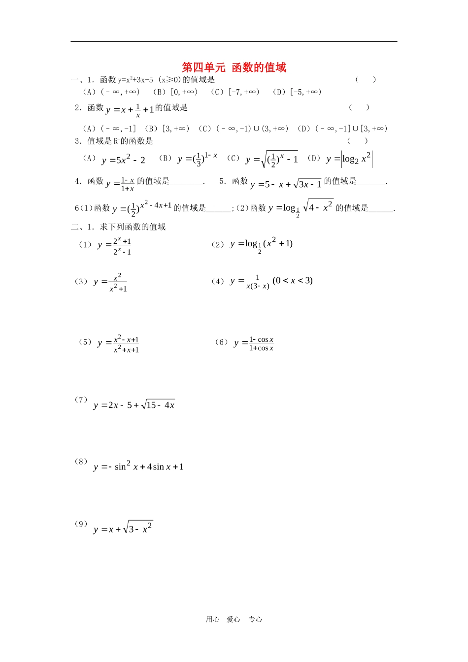
第四单元函数的值域一、1.函数y=x2+3x-5(x≥0)的值域是()(A)(–∞,+∞)(B)[0,+∞)(C)[-7,+∞)(D)[-5,+∞)2.函数11xxy的值域是()(A)(–∞,-1](B)[3,+∞)(C)(–∞,-1)∪(3,+∞)(D)(–∞,-1]∪[3,+∞)3.值域是R+的函数是()(A)252xy(B)xy131)((C)1)(21xy(D)22logxy4.函数xxy11的值域是________.5.函数135xxy的值域是_______.6(1)函数14212)(xxy的值域是______;(2)函数24log21xy的值域是______.二、1.求下列函数的值域(1)1212xxy(2))1(log221xy(3)122xxy(4))30()3(1xyxx(5)1122xxxxy(6)xxycos1cos1(7)xxy41552(8)1sin4sin2xxy(9)23xxy用心爱心专心

1、当您付费下载文档后,您只拥有了使用权限,并不意味着购买了版权,文档只能用于自身使用,不得用于其他商业用途(如 [转卖]进行直接盈利或[编辑后售卖]进行间接盈利)。
2、本站所有内容均由合作方或网友上传,本站不对文档的完整性、权威性及其观点立场正确性做任何保证或承诺!文档内容仅供研究参考,付费前请自行鉴别。
3、如文档内容存在违规,或者侵犯商业秘密、侵犯著作权等,请点击“违规举报”。

碎片内容

高三数学函数部分:函数的值域(四)

您可能关注的文档

慧源书店+ 关注
实名认证
内容提供者

从事历史教学,热爱教育,高度负责。

确认删除?
VIP
微信客服
  • 扫码咨询
会员Q群
  • 会员专属群点击这里加入QQ群
客服邮箱
回到顶部