电脑桌面
添加小米粒文库到电脑桌面
安装后可以在桌面快捷访问

高三数学2.4、函数的奇偶性VIP免费

高三数学2.4、函数的奇偶性_第1页
1/4
高三数学2.4、函数的奇偶性_第2页
2/4
高三数学2.4、函数的奇偶性_第3页
3/4
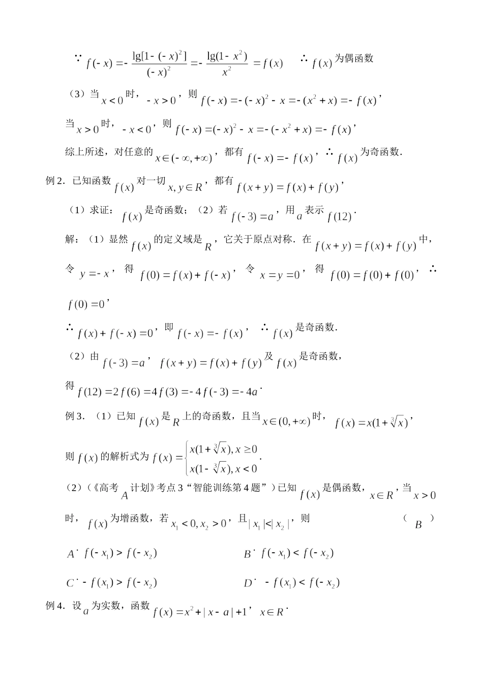
高三数学函数的奇偶性一、课题:函数的奇偶性二、教学目标:掌握函数的奇偶性的定义及图象特征,并能判断和证明函数的奇偶性,能利用函数的奇偶性解决问题.三、教学重点:函数的奇偶性的定义及应用.四、教学过程:(一)主要知识:1.函数的奇偶性的定义;2.奇偶函数的性质:(1)定义域关于原点对称;(2)偶函数的图象关于轴对称,奇函数的图象关于原点对称;3.为偶函数.4.若奇函数的定义域包含,则.(二)主要方法:1.判断函数的奇偶性,首先要研究函数的定义域,有时还要对函数式化简整理,但必须注意使定义域不受影响;2.牢记奇偶函数的图象特征,有助于判断函数的奇偶性;3.判断函数的奇偶性有时可以用定义的等价形式:,.4.设,的定义域分别是,那么在它们的公共定义域上:奇+奇=奇,奇奇=偶偶+偶=偶,偶偶=偶,奇偶=奇.5.注意数形结合思想的应用.(三)例题分析:例1.判断下列各函数的奇偶性:(1);(2);(3).解:(1)由,得定义域为,关于原点不对称,∴为非奇非偶函数.(2)由得定义域为,∴,∵∴为偶函数(3)当时,,则,当时,,则,综上所述,对任意的,都有,∴为奇函数.例2.已知函数对一切,都有,(1)求证:是奇函数;(2)若,用表示.解:(1)显然的定义域是,它关于原点对称.在中,令,得,令,得,∴,∴,即,∴是奇函数.(2)由,及是奇函数,得.例3.(1)已知是上的奇函数,且当时,,则的解析式为.(2)(《高考计划》考点3“智能训练第4题”)已知是偶函数,,当时,为增函数,若,且,则()....例4.设为实数,函数,.(1)讨论的奇偶性;(2)求的最小值.解:(1)当时,,此时为偶函数;当时,,,∴此时函数既不是奇函数也不是偶函数.(2)①当时,函数,若,则函数在上单调递减,∴函数在上的最小值为;若,函数在上的最小值为,且.②当时,函数,若,则函数在上的最小值为,且;若,则函数在上单调递增,∴函数在上的最小值.综上,当时,函数的最小值是,当时,函数的最小值是,当,函数的最小值是.例5.(《高考计划》考点3“智能训练第15题”)已知是定义在实数集上的函数,满足,且时,,(1)求时,的表达式;(2)证明是上的奇函数.(参见《高考计划》教师用书)(四)巩固练习:《高考计划》考点10智能训练6.五、课后作业:《高考计划》考点10,智能训练2,3,8,9,10,11,13.

1、当您付费下载文档后,您只拥有了使用权限,并不意味着购买了版权,文档只能用于自身使用,不得用于其他商业用途(如 [转卖]进行直接盈利或[编辑后售卖]进行间接盈利)。
2、本站所有内容均由合作方或网友上传,本站不对文档的完整性、权威性及其观点立场正确性做任何保证或承诺!文档内容仅供研究参考,付费前请自行鉴别。
3、如文档内容存在违规,或者侵犯商业秘密、侵犯著作权等,请点击“违规举报”。

碎片内容

高三数学2.4、函数的奇偶性

您可能关注的文档

慧源书店+ 关注
实名认证
内容提供者

从事历史教学,热爱教育,高度负责。

相关文档

确认删除?
VIP
微信客服
  • 扫码咨询
会员Q群
  • 会员专属群点击这里加入QQ群
客服邮箱
回到顶部