电脑桌面
添加小米粒文库到电脑桌面
安装后可以在桌面快捷访问

备战高考数学大一轮复习 热点聚焦与扩展 专题17 恒成立问题——数形结合法-人教版高三全册数学试题VIP免费

备战高考数学大一轮复习 热点聚焦与扩展 专题17 恒成立问题——数形结合法-人教版高三全册数学试题_第1页
1/17
备战高考数学大一轮复习 热点聚焦与扩展 专题17 恒成立问题——数形结合法-人教版高三全册数学试题_第2页
2/17
备战高考数学大一轮复习 热点聚焦与扩展 专题17 恒成立问题——数形结合法-人教版高三全册数学试题_第3页
3/17
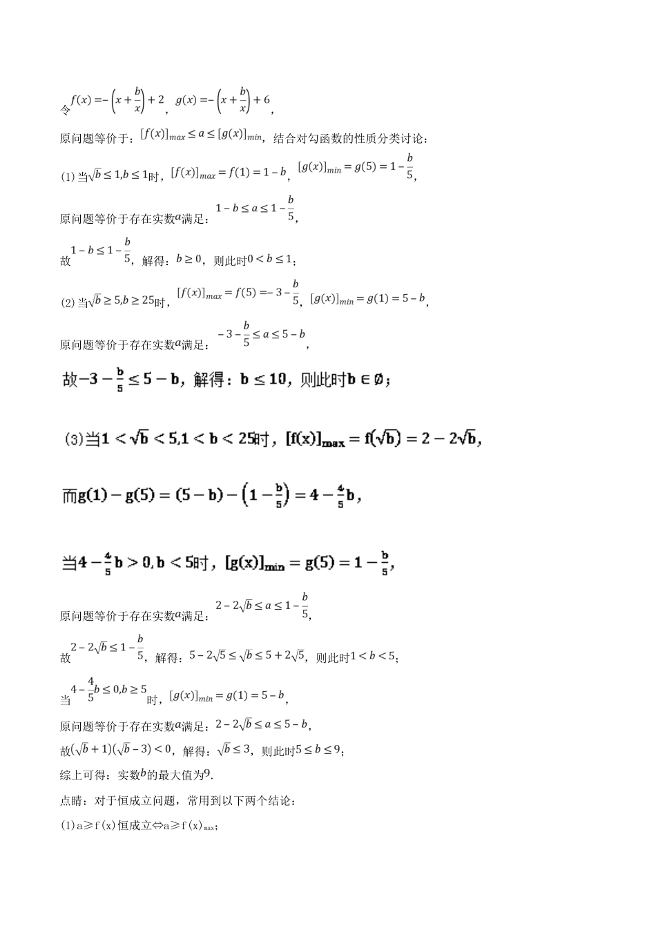
专题17恒成立问题——数形结合法【热点聚焦与扩展】不等式恒成立问题常见处理方法:①分离参数恒成立(可)或恒成立(即可);②数形结合(图象在上方即可);③讨论最值或恒成立;④讨论参数.1、函数的不等关系与图象特征:(1)若,均有的图象始终在的下方(2)若,均有的图象始终在的上方2、在作图前,可利用不等式的性质对恒成立不等式进行变形,转化为两个可作图的函数3、要了解所求参数在图象中扮演的角色,如斜率,截距等4、作图时可“先静再动”,先作常系数的函数的图象,再做含参数函数的图象(往往随参数的不同取值而发生变化)5、在作图时,要注意草图的信息点尽量完备6、什么情况下会考虑到数形结合?利用数形结合解决恒成立问题,往往具备以下几个特点:(1)所给的不等式运用代数手段变形比较复杂,比如分段函数,或者定义域含参等,而涉及的函数便于直接作图或是利用图象变换作图(2)所求的参数在图象中具备一定的几何含义(3)题目中所给的条件大都能翻译成图象上的特征【经典例题】例1.【2018届浙江省金华十校4月模拟】若对任意的,存在实数,使恒成立,则实数的最大值为__________.【答案】9【解析】若对任意的,恒成立,可得:恒成立,令,,原问题等价于:,结合对勾函数的性质分类讨论:(1)当时,,,原问题等价于存在实数满足:,故,解得:,则此时;(2)当时,,,原问题等价于存在实数满足:,原问题等价于存在实数满足:,故,解得:,则此时;当时,,原问题等价于存在实数满足:,故,解得:,则此时;综上可得:实数的最大值为.点睛:对于恒成立问题,常用到以下两个结论:(1)a≥f(x)恒成立⇔a≥f(x)max;(2)a≤f(x)恒成立⇔a≤f(x)min.例2.【2018届一轮训练】已知log(x+y+4)4x+m-3恒成立,则x的取值范围是________________.【答案】(-∞,-1)∪(3,+∞)【解析】不等式可化为m(x-1)+x2-4x+3>0在0≤m≤4时恒成立.令f(m)=m(x-1)+x2-4x+3.结合二次函数的图象得⇒⇒即x<-1或x>3.故答案为:(-∞,-1)∪(3,+∞)例5.已知不等式在上恒成立,则实数的取值范围是_________【答案】可得:,综上可得:.【名师点睛】(1)通过常系数函数图象和恒成立不等式判断出对数函数的单调性,进而缩小了参数讨论的取值范围.(2)学会观察图象时要抓住图象特征并抓住符合条件的关键点(例如本题中的).(3)处理好边界值是否能够取到的问题.例6.若不等式对于任意的都成立,则实数的取值范围是___________【答案】【解析】本题选择数形结合,可先作出在的图象,扮演的角色为对数的底数,决定函数的增减,根据不等关系可得,观察图象进一步可得只需时,,即,所以例7.已知函数,若对任意的,都有成立,则实数的取值范围是_____________【答案】【名师点睛】本题也可以用最值法求解:若,则,而是开口向上的抛物线,最大值只能在边界处产生,所以,再解出的范围即可.例8.已知函数若直线与函数的图象只有一个交点,则实数的取值范围是________.【答案】或【解析】作出函数f(x)的图象如图,m+1m例9.已知函数是定义在上的奇函数,当时,,若,则实数的取值范围是_____________【答案】【解析】是奇函数且在时是分段函数(以为界),且形式比较复杂,恒成立的不等式较难转化为具体的不等式,所以不优先考虑参变...

1、当您付费下载文档后,您只拥有了使用权限,并不意味着购买了版权,文档只能用于自身使用,不得用于其他商业用途(如 [转卖]进行直接盈利或[编辑后售卖]进行间接盈利)。
2、本站所有内容均由合作方或网友上传,本站不对文档的完整性、权威性及其观点立场正确性做任何保证或承诺!文档内容仅供研究参考,付费前请自行鉴别。
3、如文档内容存在违规,或者侵犯商业秘密、侵犯著作权等,请点击“违规举报”。

碎片内容

备战高考数学大一轮复习 热点聚焦与扩展 专题17 恒成立问题——数形结合法-人教版高三全册数学试题

您可能关注的文档

慧源书店+ 关注
实名认证
内容提供者

从事历史教学,热爱教育,高度负责。

相关文档

确认删除?
VIP
微信客服
  • 扫码咨询
会员Q群
  • 会员专属群点击这里加入QQ群
客服邮箱
回到顶部