电脑桌面
添加小米粒文库到电脑桌面
安装后可以在桌面快捷访问

高中数学 第三章 三角恒等变换 3.2 倍角公式和半角公式 3.2.2 半角的正弦、余弦和正切同步过关提升特训 新人教B版必修4-新人教B版高一必修4数学试题VIP免费

高中数学 第三章 三角恒等变换 3.2 倍角公式和半角公式 3.2.2 半角的正弦、余弦和正切同步过关提升特训 新人教B版必修4-新人教B版高一必修4数学试题_第1页
1/4
高中数学 第三章 三角恒等变换 3.2 倍角公式和半角公式 3.2.2 半角的正弦、余弦和正切同步过关提升特训 新人教B版必修4-新人教B版高一必修4数学试题_第2页
2/4
高中数学 第三章 三角恒等变换 3.2 倍角公式和半角公式 3.2.2 半角的正弦、余弦和正切同步过关提升特训 新人教B版必修4-新人教B版高一必修4数学试题_第3页
3/4
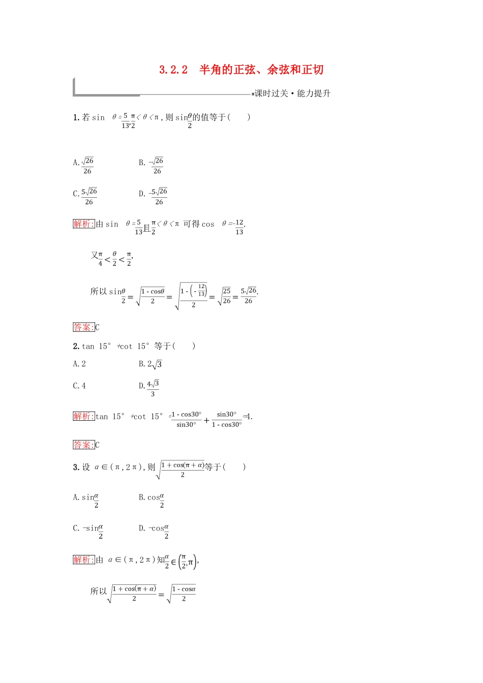
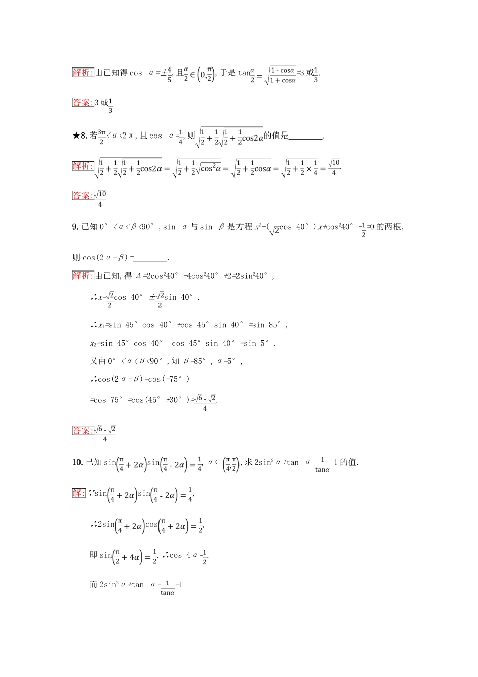
3.2.2半角的正弦、余弦和正切课时过关·能力提升1.若sinθ=<θ<π,则sin的值等于()A.B.-C.D.-解析:由sinθ=<θ<π可得cosθ=-.又,所以sin.答案:C2.tan15°+cot15°等于()A.2B.2C.4D.解析:tan15°+cot15°==4.答案:C3.设α∈(π,2π),则等于()A.sinB.cosC.-sinD.-cos解析:由α∈(π,2π)知,所以==sin.答案:A4.若,则sinα+cosα的值是()A.B.C.1D.解析:由,结合sin2α+cos2α=1可得sinα=(sinα=0舍去),于是cosα=,从而sinα+cosα=.答案:A5.若θ∈,sin2θ=,则sinθ等于()A.B.C.D.解析:由θ∈,得2θ∈.又sin2θ=,故cos2θ=-.故sinθ=.答案:D6.化简等于()A.tan2θB.cot4θC.tan4θD.cot2θ解析:=tan4θ.答案:C7.已知α为三角形的内角,sinα=,则tan=.解析:由已知得cosα=±,且,于是tan=3或.答案:3或★8.若<α<2π,且cosα=,则的值是.解析:.答案:9.已知0°<α<β<90°,sinα与sinβ是方程x2-(cos40°)x+cos240°-=0的两根,则cos(2α-β)=.解析:由已知,得Δ=2cos240°-4cos240°+2=2sin240°,∴x=cos40°±sin40°.∴x1=sin45°cos40°+cos45°sin40°=sin85°,x2=sin45°cos40°-cos45°sin40°=sin5°.又由0°<α<β<90°,知β=85°,α=5°,∴cos(2α-β)=cos(-75°)=cos75°=cos(45°+30°)=.答案:10.已知sinsin,α∈,求2sin2α+tanα--1的值.解:∵sinsin,∴2sincos,即sin.∴cos4α=.而2sin2α+tanα--1=-cos2α+=-.∵α∈,∴2α∈.∴cos2α=-=-,∴tan2α=-=-.∴-=-,即2sin2α+tanα--1的值为.★11.已知向量a=(sinx,-cosx),b=(cosx,cosx),函数f(x)=a·b+.(1)求f(x)的最小正周期;(2)当0≤x≤时,求函数f(x)的值域.解:(1)f(x)=sinxcosx-cos2x+=sin2x-(cos2x+1)+=sin2x-cos2x=sin.故f(x)的最小正周期为π.(2)∵0≤x≤,∴-≤2x-,∴-≤sin≤1,即f(x)的值域为.

1、当您付费下载文档后,您只拥有了使用权限,并不意味着购买了版权,文档只能用于自身使用,不得用于其他商业用途(如 [转卖]进行直接盈利或[编辑后售卖]进行间接盈利)。
2、本站所有内容均由合作方或网友上传,本站不对文档的完整性、权威性及其观点立场正确性做任何保证或承诺!文档内容仅供研究参考,付费前请自行鉴别。
3、如文档内容存在违规,或者侵犯商业秘密、侵犯著作权等,请点击“违规举报”。

碎片内容

高中数学 第三章 三角恒等变换 3.2 倍角公式和半角公式 3.2.2 半角的正弦、余弦和正切同步过关提升特训 新人教B版必修4-新人教B版高一必修4数学试题

您可能关注的文档

海博书城+ 关注
实名认证
内容提供者

从事历史教学,热爱教育,高度负责。

相关文档

确认删除?
VIP
微信客服
  • 扫码咨询
会员Q群
  • 会员专属群点击这里加入QQ群
客服邮箱
回到顶部