电脑桌面
添加小米粒文库到电脑桌面
安装后可以在桌面快捷访问

参数方程综合练习二VIP专享VIP免费

参数方程综合练习二_第1页
1/4
参数方程综合练习二_第2页
2/4
参数方程综合练习二_第3页
3/4
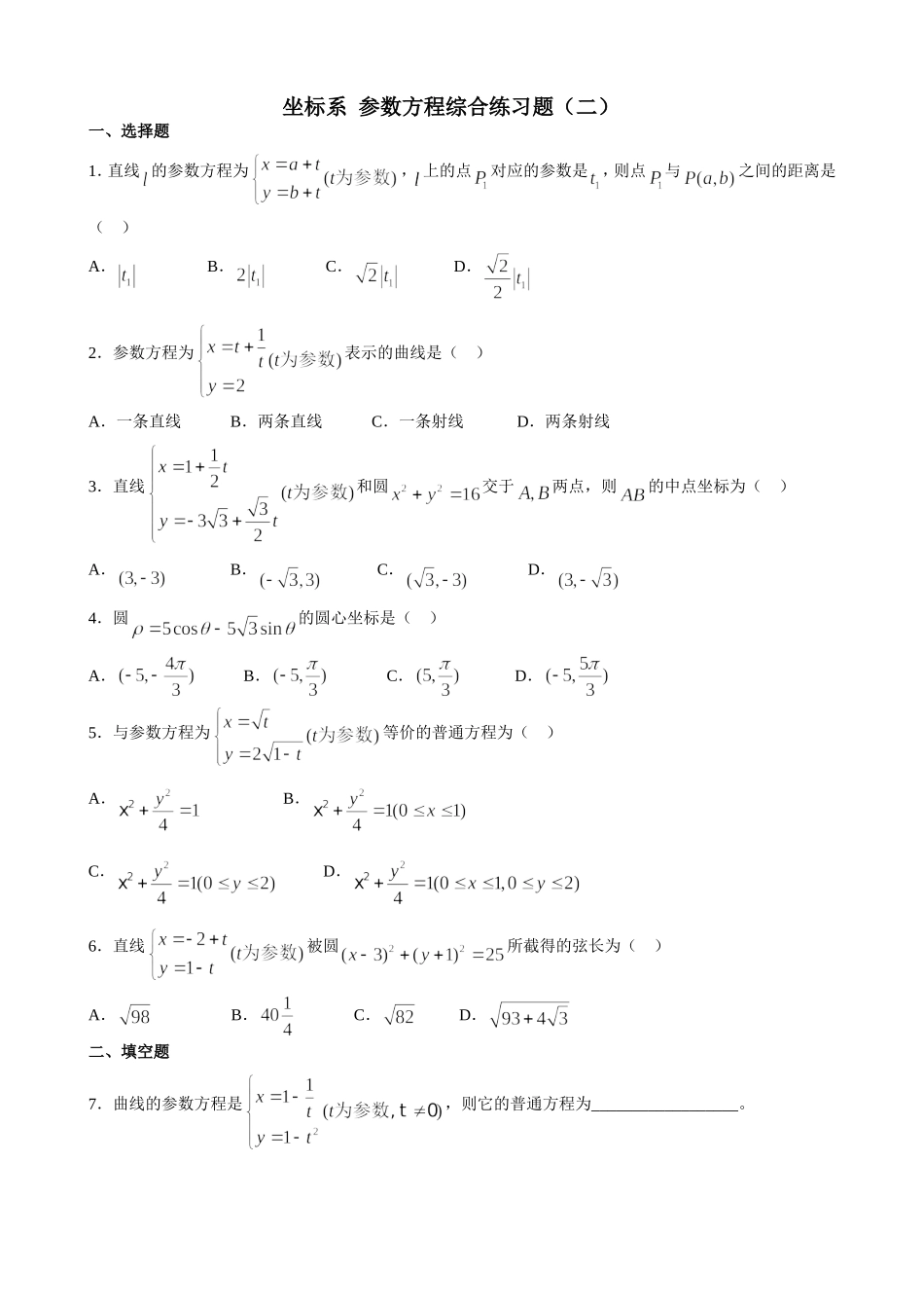
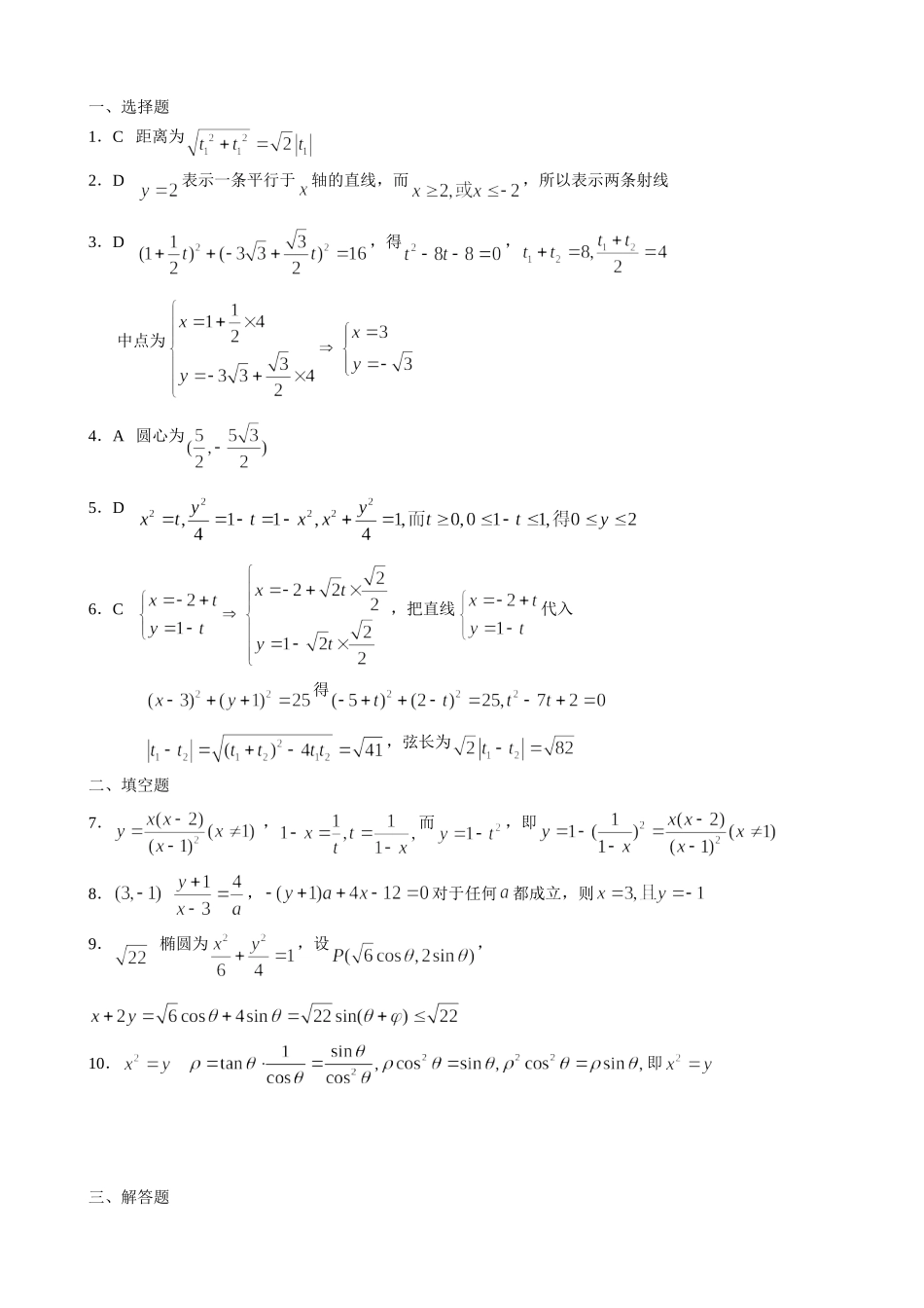
坐标系参数方程综合练习题(二)一、选择题1.直线的参数方程为,上的点对应的参数是,则点与之间的距离是()A.B.C.D.2.参数方程为表示的曲线是()A.一条直线B.两条直线C.一条射线D.两条射线3.直线和圆交于两点,则的中点坐标为()A.B.C.D.4.圆的圆心坐标是()A.B.C.D.5.与参数方程为等价的普通方程为()A.B.C.D.6.直线被圆所截得的弦长为()A.B.C.D.二、填空题7.曲线的参数方程是,则它的普通方程为__________________。8.直线过定点_____________。9.点是椭圆上的一个动点,则的最大值为___________。10.曲线的极坐标方程为,则曲线的直角坐标方程为________________。三、解答题11.已知直线经过点,倾斜角,(1)写出直线的参数方程。(2)设与圆相交与两点,求点到两点的距离之积。12.已知曲线C1的参数方程为(t为参数),以坐标原点为极点,x轴的正半轴为极轴建立极坐标系,曲线C2的极坐标方程为ρ=2sinθ.(1)把C1的参数方程化为极坐标方程;(2)求C1与C2交点的极坐标(ρ≥0,0≤θ<2π).坐标系参数方程综合练习题(二)参考答案一、选择题1.C距离为2.D表示一条平行于轴的直线,而,所以表示两条射线3.D,得,中点为4.A圆心为5.D6.C,把直线代入得,弦长为二、填空题7.,而,即8.,对于任何都成立,则9.椭圆为,设,10.即三、解答题11.解:(1)直线的参数方程为,即(2)把直线代入得,则点到两点的距离之积为12.解:(1)将消去参数t,化为普通方程(x-4)2+(y-5)2=25.即C1:x2+y2-8x-10y+16=0.将代入x2+y2-8x-10y+16=0得ρ2-8ρcosθ-10ρsinθ+16=0.所以C1的极坐标方程为ρ2-8ρcosθ-10ρsinθ+16=0.(2)C2的普通方程为x2+y2-2y=0.由解得或所以C1与C2交点的极坐标分别为,.

1、当您付费下载文档后,您只拥有了使用权限,并不意味着购买了版权,文档只能用于自身使用,不得用于其他商业用途(如 [转卖]进行直接盈利或[编辑后售卖]进行间接盈利)。
2、本站所有内容均由合作方或网友上传,本站不对文档的完整性、权威性及其观点立场正确性做任何保证或承诺!文档内容仅供研究参考,付费前请自行鉴别。
3、如文档内容存在违规,或者侵犯商业秘密、侵犯著作权等,请点击“违规举报”。

碎片内容

参数方程综合练习二

您可能关注的文档

确认删除?
VIP
微信客服
  • 扫码咨询
会员Q群
  • 会员专属群点击这里加入QQ群
客服邮箱
回到顶部