电脑桌面
添加小米粒文库到电脑桌面
安装后可以在桌面快捷访问

2015高中数学1.2.1函数的概念跟踪练习无答案新人教A版必修1VIP免费

2015高中数学1.2.1函数的概念跟踪练习无答案新人教A版必修1_第1页
1/3
2015高中数学1.2.1函数的概念跟踪练习无答案新人教A版必修1_第2页
2/3
2015高中数学1.2.1函数的概念跟踪练习无答案新人教A版必修1_第3页
3/3
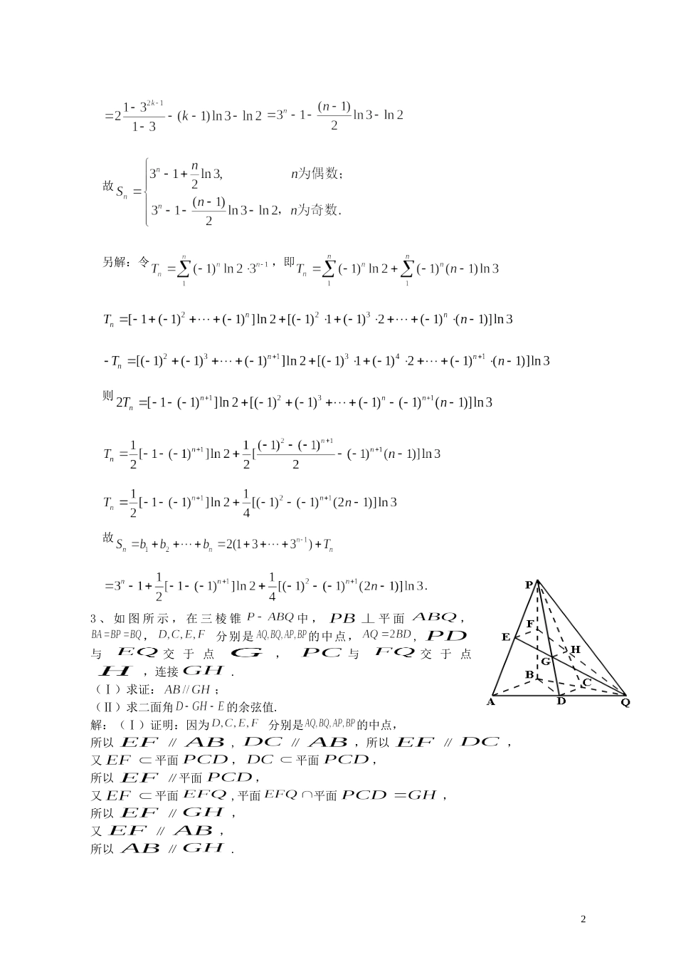
2015高中数学1.2.1函数的概念跟踪练习新人教A版必修11、已知向量已知向量是与单位向量夹角为600的任意向量,则对任意的正实数t,的最小值为.答案:2、等比数列中,分别是下表第一、二、三行中的某一个数,且中的任何两个数不在下表的同一列.第一列第二列第三列第一行第二行第三行(Ⅰ)求数列的通项公式;(Ⅱ)若数列满足:,求数列的前项和.解析:(Ⅰ)由题意可知,公比,通项公式为;(Ⅱ)当时,当时1故另解:令,即则故.3、如图所示,在三棱锥中,平面,,分别是的中点,,与交于点,与交于点,连接.(Ⅰ)求证:;(Ⅱ)求二面角的余弦值.解:(Ⅰ)证明:因为分别是的中点,所以∥,∥,所以∥,又平面,平面,所以∥平面,又平面,平面平面,所以∥,又∥,所以∥.2(Ⅱ)解法一:在△中,,,所以,即,因为平面,所以,又,所以平面,由(Ⅰ)知∥,所以平面,又平面,所以,同理可得,所以为二面角的平面角,设,连接,在△中,由勾股定理得,,在△中,由勾股定理得,,又为△的重心,所以同理,在△中,由余弦定理得,即二面角的余弦值为.解法二:在△中,,,所以,又平面,所以两两垂直,以为坐标原点,分别以所在直线为轴,轴,轴,建立如图所示的空间直角坐标系,设,则,,,,,,所以,,,,设平面的一个法向量为,由,,得取,得.设平面的一个法向量为由,,得取,得.所以因为二面角为钝角,所以二面角的余弦值为.3

1、当您付费下载文档后,您只拥有了使用权限,并不意味着购买了版权,文档只能用于自身使用,不得用于其他商业用途(如 [转卖]进行直接盈利或[编辑后售卖]进行间接盈利)。
2、本站所有内容均由合作方或网友上传,本站不对文档的完整性、权威性及其观点立场正确性做任何保证或承诺!文档内容仅供研究参考,付费前请自行鉴别。
3、如文档内容存在违规,或者侵犯商业秘密、侵犯著作权等,请点击“违规举报”。

碎片内容

2015高中数学1.2.1函数的概念跟踪练习无答案新人教A版必修1

您可能关注的文档

教育教学文库+ 关注
实名认证
内容提供者

本店有大量的教育教学资料,课件

确认删除?
VIP
微信客服
  • 扫码咨询
会员Q群
  • 会员专属群点击这里加入QQ群
客服邮箱
回到顶部