电脑桌面
添加小米粒文库到电脑桌面
安装后可以在桌面快捷访问

有机化学合成题题库VIP专享VIP免费

有机化学合成题题库_第1页
1/10
有机化学合成题题库_第2页
2/10
有机化学合成题题库_第3页
3/10
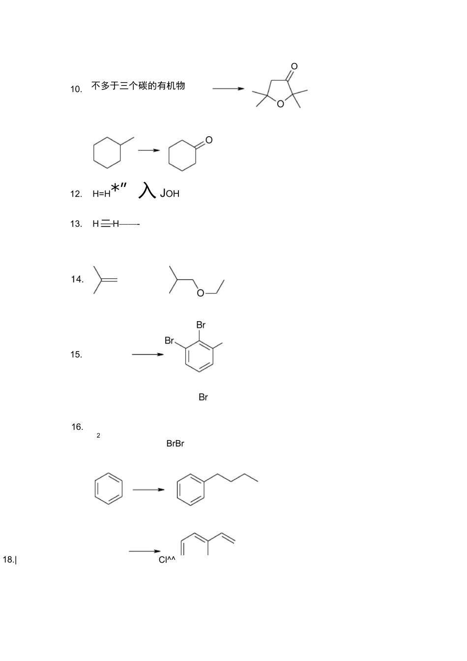
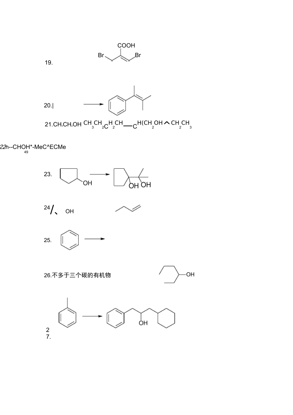
35.不多于三个碳的有机物6及其他不超过两个碳的有机物合成CCHOCHO由给定的原料或条件合成下列化合物(其它原料或试剂任选)7.由H二H及其他不超过三个碳的有机物合成8.1.C4由9.不多于四个碳的有机物-18.|12.H=H*”入JOH13.H二H——-10.不多于三个碳的有机物O15.16.2BrBrCl^^27.21.CH3CH2OHCH3CH2CH2CH—CH(CH2OH^CH2CH322n--CHOH*-MeC^ECMe4919.COOHBrBr20.|23.24/、OH25.26.不多于三个碳的有机物OH29302O23OOHSHO2HN33.不多于三个碳的有机物OOCHOO厂冷/^Y^OH42.36.37.O39.CHOOEtOOCCHOCHOOOOBrCOOH”COOEt"COOEtOOCOOHCOOEt”COOEtCOOEt”COOEtCOOEtO43.44.45.46.47.48.49.50.51.60.54.55.OH52.53.OH"”、COOHOHCOOH59.r\67.61.不多于四个碳的有机物O62.三个碳的有机物63.©/。65.”、OHO66.NH68.|BrI69.IBr70.不多于三个碳的有机物——-N73.71.CN72.OHCOOHHN"四个碳的有机物COOEt76.75.COOEt77.VCOOEtOH78.O79不多于三个碳的有机物COOEt80.不多于六个碳的有机物OH

1、当您付费下载文档后,您只拥有了使用权限,并不意味着购买了版权,文档只能用于自身使用,不得用于其他商业用途(如 [转卖]进行直接盈利或[编辑后售卖]进行间接盈利)。
2、本站所有内容均由合作方或网友上传,本站不对文档的完整性、权威性及其观点立场正确性做任何保证或承诺!文档内容仅供研究参考,付费前请自行鉴别。
3、如文档内容存在违规,或者侵犯商业秘密、侵犯著作权等,请点击“违规举报”。

碎片内容

有机化学合成题题库

确认删除?
VIP
微信客服
  • 扫码咨询
会员Q群
  • 会员专属群点击这里加入QQ群
客服邮箱
回到顶部