电脑桌面
添加小米粒文库到电脑桌面
安装后可以在桌面快捷访问

简单的三角恒等变换(三)VIP免费

简单的三角恒等变换(三)_第1页
1/4
简单的三角恒等变换(三)_第2页
2/4
简单的三角恒等变换(三)_第3页
3/4
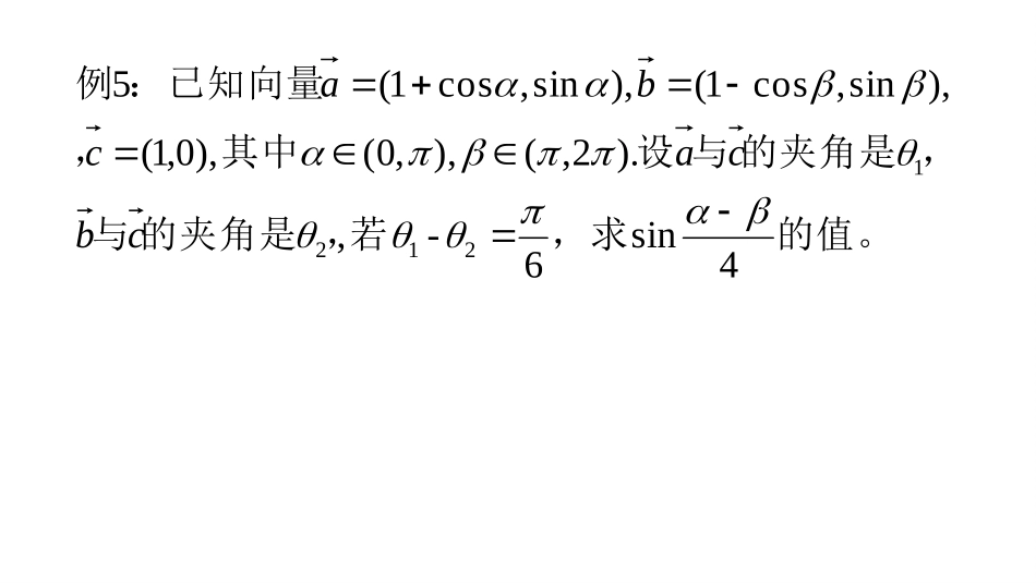
简单的三角恒等变换面积的最大值。个的面积最大?并求出这时,矩形取何值,求当角的动点,记是扇形弧上若内接矩形如图所示,方法如下两种方法:是扇形的内接矩形,有的扇形,,圆心角为是半径为:已知例ABCDCOPCABCDOPQ:1)1(314的面积最大值是多少?,矩形:若内接矩形如图所示方法ABCD2)2(αBACOPQDBCAOQDP的值。,求若,的夹角是与,的夹角是与设其中,:已知向量例4sin6,).2,(),,0(),0,1(),sin,cos1(),sin,cos1(52121-cbcacba

1、当您付费下载文档后,您只拥有了使用权限,并不意味着购买了版权,文档只能用于自身使用,不得用于其他商业用途(如 [转卖]进行直接盈利或[编辑后售卖]进行间接盈利)。
2、本站所有内容均由合作方或网友上传,本站不对文档的完整性、权威性及其观点立场正确性做任何保证或承诺!文档内容仅供研究参考,付费前请自行鉴别。
3、如文档内容存在违规,或者侵犯商业秘密、侵犯著作权等,请点击“违规举报”。

碎片内容

简单的三角恒等变换(三)

您可能关注的文档

精品文库+ 关注
实名认证
内容提供者

中小学课件教案大全

相关文档

确认删除?
VIP
微信客服
  • 扫码咨询
会员Q群
  • 会员专属群点击这里加入QQ群
客服邮箱
回到顶部