电脑桌面
添加小米粒文库到电脑桌面
安装后可以在桌面快捷访问

第9部分:直线与圆的方程VIP专享VIP免费

第9部分:直线与圆的方程_第1页
1/7
第9部分:直线与圆的方程_第2页
2/7
第9部分:直线与圆的方程_第3页
3/7
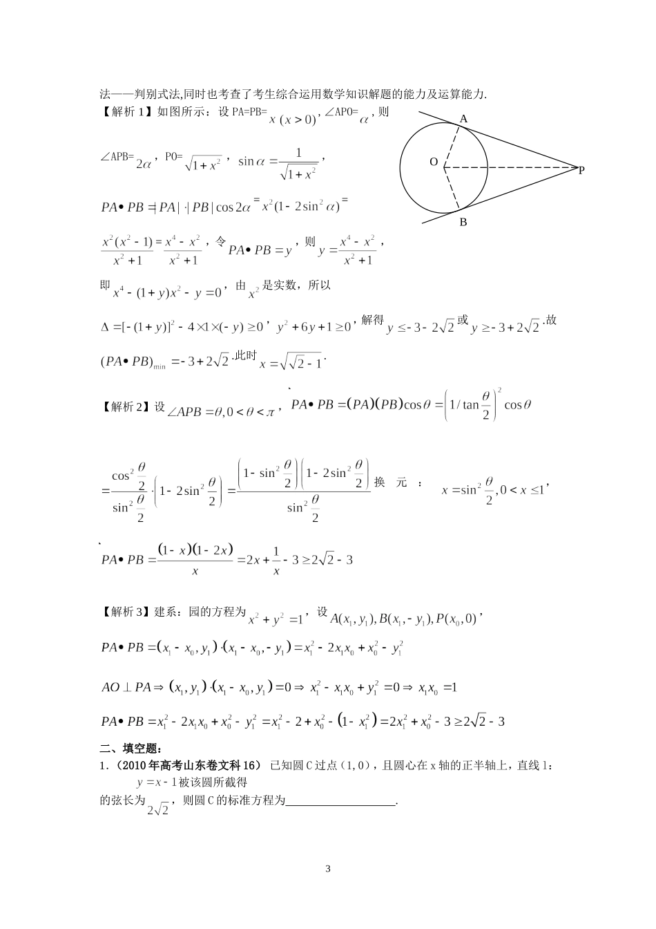
第9部分:直线与圆的方程一、选择题:1.(2010年高考江西卷文科10)直线与圆相交于两点,若,则的取值范围是A.B.C.D.【答案】B【命题意图】本题考查直线与圆的位置关系,以及点到直线的距离公式等知识.【解析】因为直线过定点(0,3),且该点在圆上,设此点位M,圆心(2,3)到直线距离为,所以由,由。2.(2010年高考安徽卷文科4)过点(1,0)且与直线x-2y-2=0平行的直线方程是(A)x-2y-1=0(B)x-2y+1=0(C)2x+y-2=0(D)x+2y-1=0【答案】.A【解析】设直线方程为,又经过,故,所求方程为.【方法技巧】因为所求直线与与直线x-2y-2=0平行,所以设平行直线系方程为,代入此直线所过的点的坐标,得参数值,进而得直线方程.也可以用验证法,判断四个选项中方程哪一个过点(1,0)且与直线x-2y-2=0平行.3.(2010年高考广东卷文科6)若圆心在轴上、半径为的圆位于轴左侧,且与直线相切,则圆的方程是w_ww.k#s5_u.co*mA.B.w_w*w.k_s_5u.c*o*mC.D.【解析】由题意知,圆心在y轴左侧,排除A、C在AORt0,210kAOA,故50510500OOOA,选D.4.(2010年高考重庆卷文科8)若直线与曲线()有两个不同的公共点,则实数的取值范围为(A)(B)1(C)(D)【答案】D【解析】化为普通方程,表示圆,因为直线与圆有两个不同的交点,所以解得法2:利用数形结合进行分析得同理分析,可知5.(2010年高考陕西卷文科9)已知抛物线y2=2px(p>0)的准线与圆(x-3)2+y2=16相切,则p的值为[C](A)(B)1(C)2(D)4【答案】C【解析】由题设知,直线与圆相切,从而.故选.6.(2010年高考湖北卷文科9)若直线与曲线有公共点,则b的取值范围是A.[,]B.[,3]C.[-1,]D.[,3]【答案】D【解析】曲线方程可化简为,即表示圆心为(2,3)半径为2的半圆,依据数形结合,当直线与此半圆相切时须满足圆心(2,3)到直线y=x+b距离等于2,解得,因为是下半圆故可得(舍),当直线过(0,3)时,解得b=3,故所以C正确.7.(2010年高考全国Ⅰ卷文科11)已知圆的半径为1,PA、PB为该圆的两条切线,A、B为两切点,那么的最小值为(A)(B)(C)(D)11.D【命题意图】本小题主要考查向量的数量积运算与圆的切线长定理,着重考查最值的求2法——判别式法,同时也考查了考生综合运用数学知识解题的能力及运算能力.【解析1】如图所示:设PA=PB=,∠APO=,则∠APB=,PO=,,===,令,则,即,由是实数,所以,,解得或.故.此时.【解析2】设,换元:,【解析3】建系:园的方程为,设,二、填空题:1.(2010年高考山东卷文科16)已知圆C过点(1,0),且圆心在x轴的正半轴上,直线l:被该圆所截得的弦长为,则圆C的标准方程为.3PABO【答案】【解析】由题意,设圆心坐标为,则由直线l:被该圆所截得的弦长为得,,解得或-1,又因为圆心在x轴的正半轴上,所以,故圆心坐标为(3,0),又已知圆C过点(1,0),所以所求圆的半径为2,故圆C的标准方程为。【命题意图】本题考查了直线的方程、点到直线的距离、直线与圆的关系,考查了同学们解决直线与圆问题的能力。2.(2010年高考天津卷文科14)已知圆C的圆心是直线x-y+1=0与x轴的交点,且圆C与直线x+y+3=0相切。则圆C的方程为。【答案】【解析】因为圆C的圆心是直线x-y+1=0与x轴的交点,所以圆心坐标为(-1,0),因为直线与圆相切,所以圆心到直线的距离等于半径,即,故圆C的方程为。【命题意图】本题考查圆的方程、直线与圆的位置关系等基础知识。3.(2010年高考上海卷文科7)圆的圆心到直线的距离3。解析:考查点到直线距离公式圆心(1,2)到直线距离为4.(2010年高考宁夏卷文科13)圆心在原点上与直线相切的圆的方程为-----------。【答案】解析:设圆的方程为,根据题意得,所以所求圆的方程为.5.(2010年高考湖南卷文科14)若不同两点P,Q的坐标分别为(a,b),(3-b,3-a),则线段PQ的垂直平分线l的斜率为-1,圆(x-2)2+(y-3)2=1关于直线对称的圆的方程为。46.(2010年高考四川卷文科14)直线与圆相交于A、B两点,则.解析:方法一、圆心为(0,0),半径为2w_ww.k#s5_u.co*m圆心到直线的距离为d=故得|AB|=2答案:2三、解答题:1.(2010年高考全国Ⅰ卷文科22)(本小...

1、当您付费下载文档后,您只拥有了使用权限,并不意味着购买了版权,文档只能用于自身使用,不得用于其他商业用途(如 [转卖]进行直接盈利或[编辑后售卖]进行间接盈利)。
2、本站所有内容均由合作方或网友上传,本站不对文档的完整性、权威性及其观点立场正确性做任何保证或承诺!文档内容仅供研究参考,付费前请自行鉴别。
3、如文档内容存在违规,或者侵犯商业秘密、侵犯著作权等,请点击“违规举报”。

碎片内容

第9部分:直线与圆的方程

您可能关注的文档

百万精品文档+ 关注
实名认证
内容提供者

中小学学习资料教案课件

相关文档

确认删除?
VIP
微信客服
  • 扫码咨询
会员Q群
  • 会员专属群点击这里加入QQ群
客服邮箱
回到顶部