电脑桌面
添加小米粒文库到电脑桌面
安装后可以在桌面快捷访问

幂的乘方.1.2幂的乘方VIP免费

幂的乘方.1.2幂的乘方_第1页
1/20
幂的乘方.1.2幂的乘方_第2页
2/20
幂的乘方.1.2幂的乘方_第3页
3/20
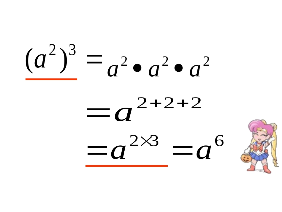
回忆:其中m,n都是正整数同底数幂的乘法法则:nmnmaaa+=·温故知新如果这个正方体的棱长是a2cm,那么它的体积是cm3.你知道(42)3是多少个4相乘吗?你知道吗?(42)3如果这个正方体的棱长是42cm,那么它的体积是cm3.32)(a探究新知32)(a222aaa222a632aa想一想:幂的乘方,底数变不变?指数应怎样计算?试计算:?)(nma其中m,n都是正整数幂的乘方法则:()mnmnaa其中m,n都是正整数这就是说,幂的乘方,底数不变,指数相乘。例1计算:72332432(1)(10);(2)();(3)();(4)();mbay解:7272(1)(10)101410326yy32(4)()y2424(3)()mmaa3333(2)()bb9b例题讲解8ma例2计算:2432(1)()aaa解:原式=2432aa6662aaa3242(2)()()xx解:原式=3242xx686814xxxx例3把24[()]xy化成nyx)(的形式。解:2424[()]()xyxy8()xy6.已知xn=2(n为正整数)。求(x2n)2-(x3)2n的值。解:(x2n)2-(x3)2n=X4n-x6n=(xn)4-(xn)6=24-26=-48已知10n=5,10m=6。求102n+3m的值。解:102n+3m=(10n)2×(10m)3=52×63=5400=102n×103m幂的乘方法则:()mnmnaa(其中m,n都是正整数)同底数幂的乘法法则:mnmnaaa底数不变指数相乘指数相加()mnmnaamnmnaaa同底数幂相乘其中m,n都是正整数幂的乘方小试牛刀⑴(a2)4⑵(b3m)4⑶(xn)m⑷(b3)3⑸x4·x4⑹(x4)7⑻(a3)3⑽(x6)5⑺-(y7)2⑾[(x+y)3]4⑼[(-1)3]5⑿[(a+1)3]n能力提升⑴(an+1)2⑵(am)3⑶(410)5⑷[(-1)3]4⑸-4(a2)3⑹[(a+b)2]5⑺(mn)n+1⑻(x2a)3⑼(y3)m+31.计算:⑴(a2)3a⑵2·a3(y⑶5)5y⑷5·y52.计算:⑴(x2)3·(x2)2(y⑵3)4·(y4)3⑶-(xn)2·(x3)2m(a⑷2)3+a3·a3要认真呀!1、若am=2,则a3m=_____.2、若mx=2,my=3,则mx+y=____,m3x+2y=______.8672动脑筋!思考题:1.-{-[-(-a2)3]4}2=2.(-x3)4+x10·x2-(-x)5·x·x6=3.[(a+b)3]4·[-(b+a)2]5=4.(-x3)4+x10·x2-(-x)5·x·x6=5.若a=255,b=344,c=433,试比较a、b、c的大小关系。作业提示:你来总结课堂小结本题课你有什么收获或感想?你还有什么疑问?

1、当您付费下载文档后,您只拥有了使用权限,并不意味着购买了版权,文档只能用于自身使用,不得用于其他商业用途(如 [转卖]进行直接盈利或[编辑后售卖]进行间接盈利)。
2、本站所有内容均由合作方或网友上传,本站不对文档的完整性、权威性及其观点立场正确性做任何保证或承诺!文档内容仅供研究参考,付费前请自行鉴别。
3、如文档内容存在违规,或者侵犯商业秘密、侵犯著作权等,请点击“违规举报”。

碎片内容

幂的乘方.1.2幂的乘方

您可能关注的文档

中小学教育精品资料+ 关注
实名认证
内容提供者

中小学教育资料,优质文档创作者

相关文档

相关标签

确认删除?
VIP
微信客服
  • 扫码咨询
会员Q群
  • 会员专属群点击这里加入QQ群
客服邮箱
回到顶部