电脑桌面
添加小米粒文库到电脑桌面
安装后可以在桌面快捷访问

二次根式提高班资料2(过关题)VIP免费

二次根式提高班资料2(过关题)_第1页
1/3
二次根式提高班资料2(过关题)_第2页
2/3
二次根式提高班资料2(过关题)_第3页
3/3
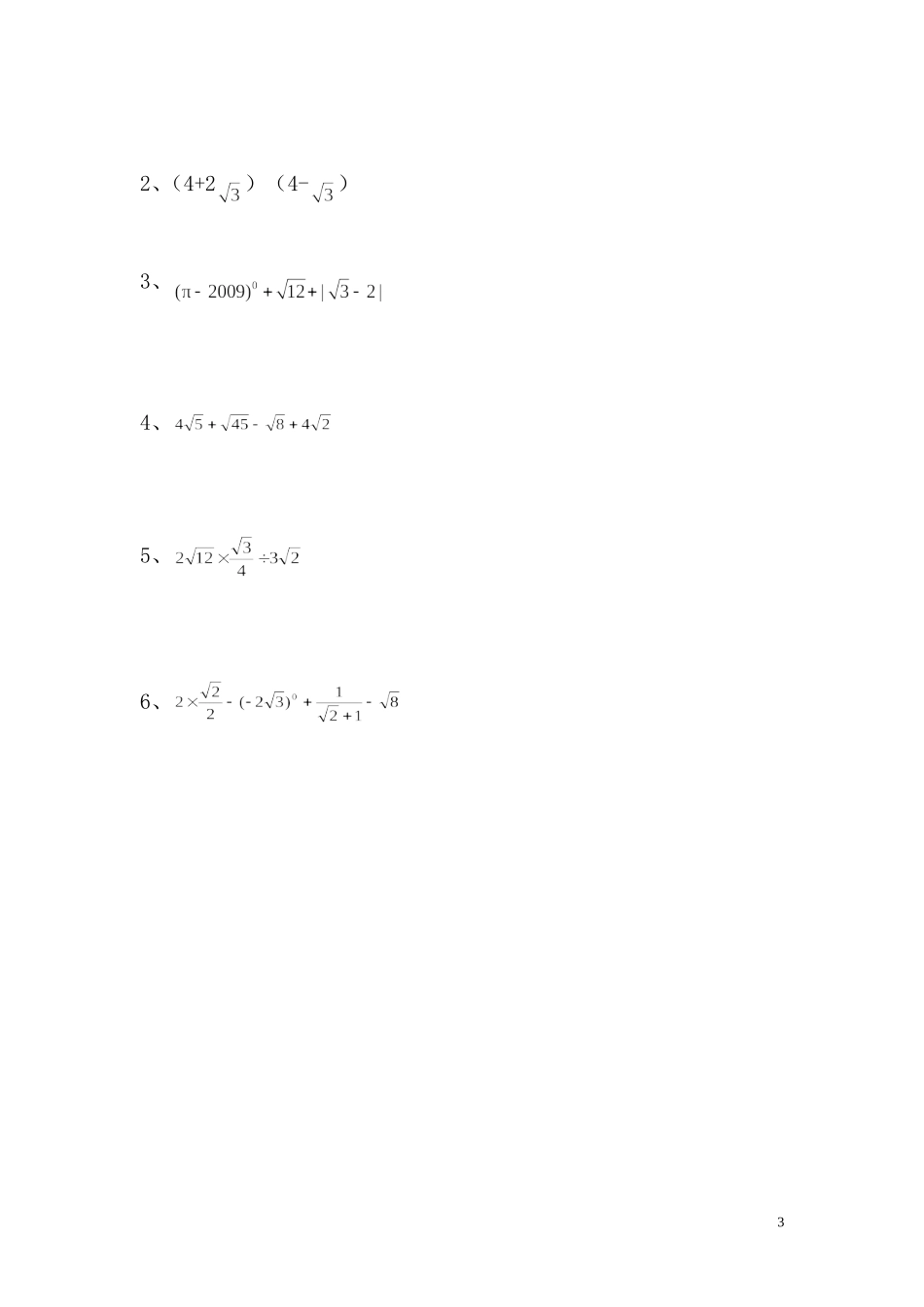
凤凰一中2012年秋季基础提高班资料—2二次根式过关题班级:姓名:得分:一、填空题:(每小题3分,共30分)1、有意义的条件:2、有意义的条件:3、已知:,则=4、若,则x+y=5、若,则6、化简:7、若8、化简:=,9、化简:=10.计算:=二、选择题:(每小题3分,共30分)1、下列二次根式中,是最简二次根式是()A.B.C.D.2、下列各组二次根中,是同类二次根的是()A.与B.与1C.与D.与3.若,则()A.b>3B.b<3C.b≥3D.b≤34.下列计算正确的是:()A.B.C.D.5.若最简二次根式是同类二次根式,则a的值为()A.B.C.D.6.化简的结果为()A.10B.2C.4D.207.下列各式正确的是()A、B、3C、D、8.的值是()A.±4B.-4C.4D.以上答案都不对9.下列各式中与是同类二次根式的是()A.2B.C.D.10.下列各运算中,错误的个数是()①②③④A.1B.2C.3D.4三、解答题:(每小题10分,共60分)1、;22、(4+2)(4-)3、4、5、6、3

1、当您付费下载文档后,您只拥有了使用权限,并不意味着购买了版权,文档只能用于自身使用,不得用于其他商业用途(如 [转卖]进行直接盈利或[编辑后售卖]进行间接盈利)。
2、本站所有内容均由合作方或网友上传,本站不对文档的完整性、权威性及其观点立场正确性做任何保证或承诺!文档内容仅供研究参考,付费前请自行鉴别。
3、如文档内容存在违规,或者侵犯商业秘密、侵犯著作权等,请点击“违规举报”。

碎片内容

二次根式提高班资料2(过关题)

您可能关注的文档

确认删除?
VIP
微信客服
  • 扫码咨询
会员Q群
  • 会员专属群点击这里加入QQ群
客服邮箱
回到顶部