电脑桌面
添加小米粒文库到电脑桌面
安装后可以在桌面快捷访问

七年级数学有理数计算题练习VIP免费

七年级数学有理数计算题练习_第1页
1/3
七年级数学有理数计算题练习_第2页
2/3
七年级数学有理数计算题练习_第3页
3/3
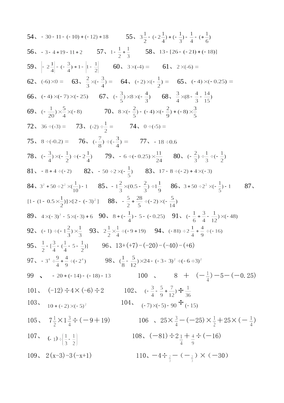
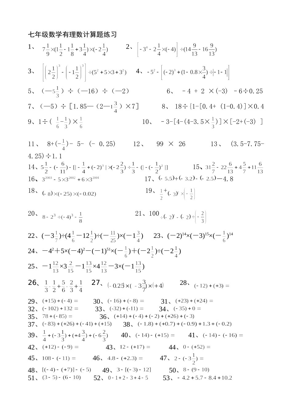
七年级数学有理数计算题练习1、2、3、4、5、(—)÷(—16)÷(—2)6、–4+2×(-3)–6÷0.257、(—5)÷[1.85—(2—)×7]8、18÷{1-[0.4+(1-0.4)]×0.49、1÷(-)×10、–3-[4-(4-3.5×)]×[-2+(-3)]11、8+(-)-5-(-0.25)12、99×2613、(3.5-7.75-4.25)÷1.114、15、16、17、+-4.818、19、+20、21、10022、(-3)÷(4-12)÷(-)×(-1)23、(-2)14×(-3)15×(-)1424、-42+5×(-4)2-(-1)51×(-)+(-2)÷(-2)25、-1×3-1×4-3×(-1)26、27、28、29、30、31、32、33、34、35、36、37、38、39、40、41、42、43、44、45、46、47、48、49、50、51、52、53、54、55、56、57、58、59、60、61、62、63、64、65、66、67、68、69、70、72、73、74、75、76、77、78、79、80、81、82、83、84、85、86、87、88、89、90、91、92、93、94、95、96、13+(+7)-(-20)-(-40)-(+6)97、98、99、100、8+(―)―5―(―0.25)101、(-12)÷4×(-6)÷2102、÷103、104、÷105、7×1÷(-9+19)106、25×―(―25)×+25×(-)107、108、(-81)÷2+÷(-16)109、2(x-3)-3(-x+1)110、-4÷-(-)×(-30)111、112、÷113、114、÷115、-22-〔-32+(-2)4÷23〕116、117、118、100119、―22+×(-2)2120、121、122、123、(-36)-[(-54)-(+32)]124、(+3.74)-[(-5.91)-(-2.74)+(-2.78)]125、(-0.4)÷0.02×(-5)126、127、128、11]129、÷130、

1、当您付费下载文档后,您只拥有了使用权限,并不意味着购买了版权,文档只能用于自身使用,不得用于其他商业用途(如 [转卖]进行直接盈利或[编辑后售卖]进行间接盈利)。
2、本站所有内容均由合作方或网友上传,本站不对文档的完整性、权威性及其观点立场正确性做任何保证或承诺!文档内容仅供研究参考,付费前请自行鉴别。
3、如文档内容存在违规,或者侵犯商业秘密、侵犯著作权等,请点击“违规举报”。

碎片内容

七年级数学有理数计算题练习

您可能关注的文档

精品文库+ 关注
实名认证
内容提供者

中小学课件教案小学资料大全

相关文档

确认删除?
VIP
微信客服
  • 扫码咨询
会员Q群
  • 会员专属群点击这里加入QQ群
客服邮箱
回到顶部