电脑桌面
添加小米粒文库到电脑桌面
安装后可以在桌面快捷访问

cy_JSJ_02__习题课VIP免费

cy_JSJ_02__习题课_第1页
1/22
cy_JSJ_02__习题课_第2页
2/22
cy_JSJ_02__习题课_第3页
3/22
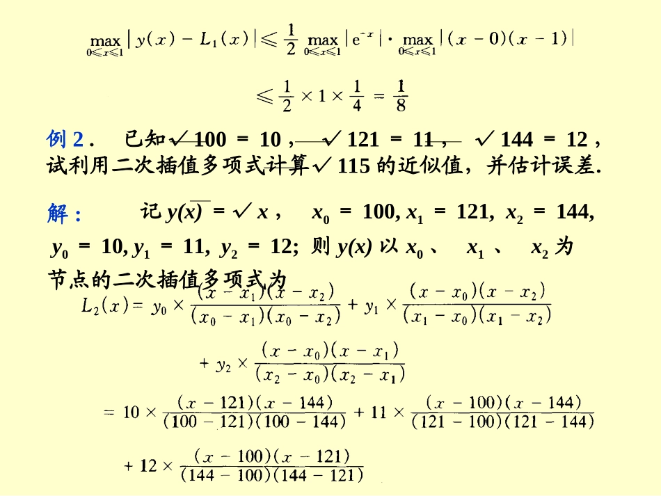
习题课2插值法一、基本内容与学习要求1.插值问题、插值基函数、拉格朗日插值公式、差商、差分、牛顿插值公式,插值余项.2.Runge现象、分段插值、Hermite插值、样条函数、样条插值.3.常用的求插值函数的方法有:待定系数法,基函数法,基于承袭性的递推构造法等.要求掌握多项式插值的概念,插值多项式的存在惟一性,拉格朗日插值多项式,牛顿插值多项式,多项式插值的余项表示,分段线性插值和分段二次插值及其余项估计式。了解带导数条件的插值,会用三次样条插值.解:二、典型例题分析例1.令x0=0,x1=1,写出y(x)=e-x的一次插值多项式L1(x),并估计插值误差.记x0=0,x1=1,y0=e-0=1,y1=e-1;则函数y=e-x以x0、x1为节点的一次插值多项式为因为y’(x)=-e-x,y"(x)=e-x,所以例2.已知√100=10,√121=11,√144=12,试利用二次插值多项式计算√115的近似值,并估计误差.记y(x)=√x,x0=100,x1=121,x2=144,y0=10,y1=11,y2=12;则y(x)以x0、x1、x2为节点的二次插值多项式为解:用L2(115)作为√115的近似值具有4位有效数字.例3.设f(x)=x4,试利用拉格朗日插值余项定理写出以-1,0,1,2为插值节点的三次插值多项式.解:记f(x)以-1,0,1,2为插值节点的三次插值多项式为L3(x).由插值余项定理有所以例4.证明由下列插值条件所确定的拉格朗日插值多项式是一个二次多项式.该例说明了什么问题?以x0,x2,x4为插值节点作f(x)的2次插值多项式p(x),则解:x0x2x4例5.对于任意实数λ≠0以及任意正整数r和s,r+s次多项式满足它说明了什么问题?容易验证因而6个点(xi,yi),i=01,…,5均在二次曲线p(x)=x2-1上.换句话说,满足所给插值条件的拉格朗日插值多项式为p(x)=x2-1.分析:这是一个非标准插值问题,我们可以按各种思路去做.可按两种方法去做:一种是先求牛顿或拉格朗目型插值,再通过待定系数法求Pn(x);另一种是先求埃尔米特插值,再通过待定系数法确定Pn(x).下面给出三种做法.例6求一个次数不高于4的多项式P4(x),使它满足P4(0)=P4'(0)=0,P4(1)=P4'(1)=1,P4(2)=1.解法一先求满足P4(0)=0,P4(1)=1,P4(2)=1的插值多项式P2(x),易得显然P4(x)满足P2(x)的插植条件,利用两个导数条件确定系数A,B.由P4'(0)=0,P4'(1)=1解得A=1/4,B=-3/4.故设解法二先作满足埃尔米特插值多项式H3(x).解法三构造插值基函数求.记x0=0,x1=1,x2=2,并设所求多项式为其中li(x)均为次数不超过4的多项式且满足如下条件:易知证以a,b两点为插值节点作f(x)的一次插值多项式,利用插值多项式的余项定理,得到例7.设f(t)C2[a,b],求证当x[a,b]时由(1),(2)得到(1)(2)从而例8.设x0,x1,…,xn为n+1个互异的节点,li(x)为拉格朗日基本插值多项式,试证3)设p(x)为任一个最高次项系数为1的n+1次多项式,则证1)记则以x0,x1,…,xn为插值节点的拉格朗日插值多项式为,且有注:课本P59习题2。即因而2)记则以x0,x1,…,xn为插值节点的拉格朗日插值多项式为且有因而在上式中令t=x,即得即例9.若有n个互异的零点则有证由于x0,x1,…,xn是f(x)的n个互异的零点,所以3)由插值余项公式有于是由(1),(2)得记则(2)(1)例10.设x0,x1,…,xn为n+1个互异的节点,p(x)为次数不超过n的多项式,求证有理函数可分解为部分分式p(x)q(x)其中A0,A1,…,An都是常数.证考虑p(x)以x0,x1,…,xn为n+1个互异的节点,作n次插值多项式,则由插值余项定理有(1)记则由(1)得设f(x)C4[a,b],在[a,b]上求三次多项式H(x)使得并估计误差.解1)作二次多项式N(x)满足易知h(x)是一个三次多项式,且因而a是h(x)的一个三重零点,于是设,则例11证由例12.证明f[x0,x]一般不等于f’[x0,x],除非f(x)是线性函数.这里f[x0,x]是f(x)的一阶差商,f’[x0,x]是f’(x)的一阶差商.ddx,ξ介于x0与x之间η介于x0与x之间知一般地f[x0,x]与f’[x0,x]不相等。ddx若f[x0,x]与f’[x0,x]相等,即ddx则有f(x)=f(x0)+f’(x0)(x-x0),即f(x)为线性函数.并写出f(x)的n次牛顿插值多项式.证明数值微分公式对任意4次多项式精确成立,进一步求出微分公式的余项.例13.f’(x0)[f(x0-2h)-8f(x0-h)+8f(x0+h)-f(x0+2h)](1)112h记xi=x0+ih,i=-2,-1,0,1,2.作4次多项式p(x)满足如下插值条件:p(xi)=f(xi),i=-2,-1,0,1,2f(x)-p(x)=(x-xi),=(x)(x0-2h,x0+2h)2i=-2f(5)()5!g(x)=(x-xi),2i=-2f(5)()5!i≠0f(x)-p(x)=g(x)(x-x0),f’(x)-p’(x)=g’(x)(x-x0)+g(x),f’(x)-p’(x)=g(x0)=(x0-xi)=2i=-2f(5)()5!i≠0h4f(5)()30p’(x0)[p(x0-2h)-8p(x0-h)+8p(x0+h)-p(x0+2h)]112hp’(x0)[f(x0-2h)-8f(x0-h)+8f(x0+h)-f(x0+2h)]112h

1、当您付费下载文档后,您只拥有了使用权限,并不意味着购买了版权,文档只能用于自身使用,不得用于其他商业用途(如 [转卖]进行直接盈利或[编辑后售卖]进行间接盈利)。
2、本站所有内容均由合作方或网友上传,本站不对文档的完整性、权威性及其观点立场正确性做任何保证或承诺!文档内容仅供研究参考,付费前请自行鉴别。
3、如文档内容存在违规,或者侵犯商业秘密、侵犯著作权等,请点击“违规举报”。

碎片内容

cy_JSJ_02__习题课

确认删除?
VIP
微信客服
  • 扫码咨询
会员Q群
  • 会员专属群点击这里加入QQ群
客服邮箱
回到顶部