电脑桌面
添加小米粒文库到电脑桌面
安装后可以在桌面快捷访问

导数的综合运用VIP免费

导数的综合运用_第1页
1/74
导数的综合运用_第2页
2/74
导数的综合运用_第3页
3/74
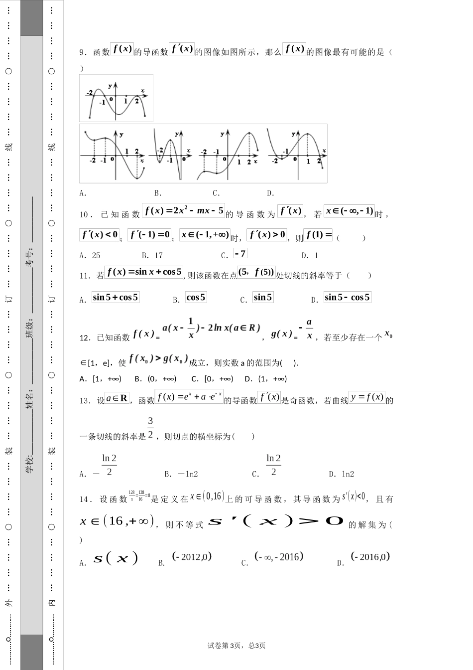
…………○…………外…………○…………装…………○…………订…………○…………线…………○…………学校:___________姓名:___________班级:___________考号:___________…………○…………内…………○…………装…………○…………订…………○…………线…………○…………绝密★启用前2014-2015学年度???学校9月月考卷试卷副标题考试范围:xxx;考试时间:100分钟;命题人:xxx题号一二三总分得分注意事项:1.答题前填写好自己的姓名、班级、考号等信息2.请将答案正确填写在答题卡上第I卷(选择题)请点击修改第I卷的文字说明评卷人得分一、选择题(题型注释)1.函数的图象如图所示,且在与处取得极值,给出下列判断:①;②;③函数在区间上是增函数。其中正确的判断是()A.①③B.②C.②③D.①②2.定义在R上的函数f(x)满足f(1)=1,且对任意x∈R都有f'(x)<12,则不等式f(x2)>x2+12的解集为()A.(1,2)B.(0,1)C.(1,+∞)D.(-1,1)3.设函数f(x)=xex,则()试卷第1页,总3页…………○…………外…………○…………装…………○…………订…………○…………线…………○…………※※请※※不※※要※※在※※装※※订※※线※※内※※答※※题※※…………○…………内…………○…………装…………○…………订…………○…………线…………○…………A.x=1为f(x)的极大值点B.x=-1为f(x)的极大值点C.x=1为f(x)的极小值点D.x=-1为f(x)的极小值点4.若函数的图象在处的切线与圆相切,则的最大值是()A.4B.C.2D.5..函数f'(x)是上的可导函数,时,,则函数的零点个数为()A.B.ACC.D.6.函数f(x)定义在上的非负可导函数,且满足,对任意正数,若,则必有().A、B、C、bf(a)af(b)7.设函数1220=35在定义域内可导,A的图象如下右图所示,则导函数可能为()8.定义在上的函数,是它的导函数,且恒有成立,则()A.B.C.D.试卷第2页,总3页1()e(0,)axfxabb>>00x221xyab222),0(()()0xfxfxba,ba)()(abfbaf)()(bafabf…………○…………外…………○…………装…………○…………订…………○…………线…………○…………学校:___________姓名:___________班级:___________考号:___________…………○…………内…………○…………装…………○…………订…………○…………线…………○…………9.函数的导函数的图像如图所示,那么的图像最有可能的是()A.B.C.D.10.已知函数的导函数为,若时,;;时,,则()A.25B.17C.D.111.若,则该函数在点处切线的斜率等于()A.B.C.D.12.已知函数=,=,若至少存在一个∈[1,e],使成立,则实数a的范围为().A.[1,+∞)B.(0,+∞)C.[0,+∞)D.(1,+∞)13.设,函数的导函数是奇函数,若曲线的一条切线的斜率是,则切点的横坐标为()A.-B.-ln2C.D.ln214.设函数128x=12816=8是定义在x∈(0,16)上的可导函数,其导函数为s'(x)<0,且有x∈(16,+∞),则不等式s'(x)>0的解集为()A.s(x)B.C.D.试卷第3页,总3页()fx()fx()fx2()25fxxmx()fx(,1)x()0fx(1)0f(1,+)x()0fx(1)f7()sincos5fxx()5(5)f,sin5cos5cos5sin5sin5cos5aR()xxfxeae()fx()yfx…………○…………外…………○…………装…………○…………订…………○…………线…………○…………※※请※※不※※要※※在※※装※※订※※线※※内※※答※※题※※…………○…………内…………○…………装…………○…………订…………○…………线…………○…………第II卷(非选择题)请点击修改第II卷的文字说明评卷人得分二、填空题(题型注释)15.二维空间中圆的一维测度(周长),二维测度(面积),观察发现;三维空间中球的二维测度(表面积),三维测度(体积),观察发现.已知四维空间中“超球”的三维测度,猜想其四维测度________.16.已知函数(,为常数),当时,函数有极值,若函数有且只有三个零点,则实数的取值范围是.17.若在区间上是增函数,则的范围是.(用区间来表示)18.若关于的不等式的解集中的正整数解有...

1、当您付费下载文档后,您只拥有了使用权限,并不意味着购买了版权,文档只能用于自身使用,不得用于其他商业用途(如 [转卖]进行直接盈利或[编辑后售卖]进行间接盈利)。
2、本站所有内容均由合作方或网友上传,本站不对文档的完整性、权威性及其观点立场正确性做任何保证或承诺!文档内容仅供研究参考,付费前请自行鉴别。
3、如文档内容存在违规,或者侵犯商业秘密、侵犯著作权等,请点击“违规举报”。

碎片内容

导数的综合运用

您可能关注的文档

精品文档+ 关注
实名认证
内容提供者

中小学学习资料大全

确认删除?
VIP
微信客服
  • 扫码咨询
会员Q群
  • 会员专属群点击这里加入QQ群
客服邮箱
回到顶部