电脑桌面
添加小米粒文库到电脑桌面
安装后可以在桌面快捷访问

高中数学选修本(理科)函数的和、差、积、商的导数(2)VIP免费

高中数学选修本(理科)函数的和、差、积、商的导数(2)_第1页
1/5
高中数学选修本(理科)函数的和、差、积、商的导数(2)_第2页
2/5
高中数学选修本(理科)函数的和、差、积、商的导数(2)_第3页
3/5
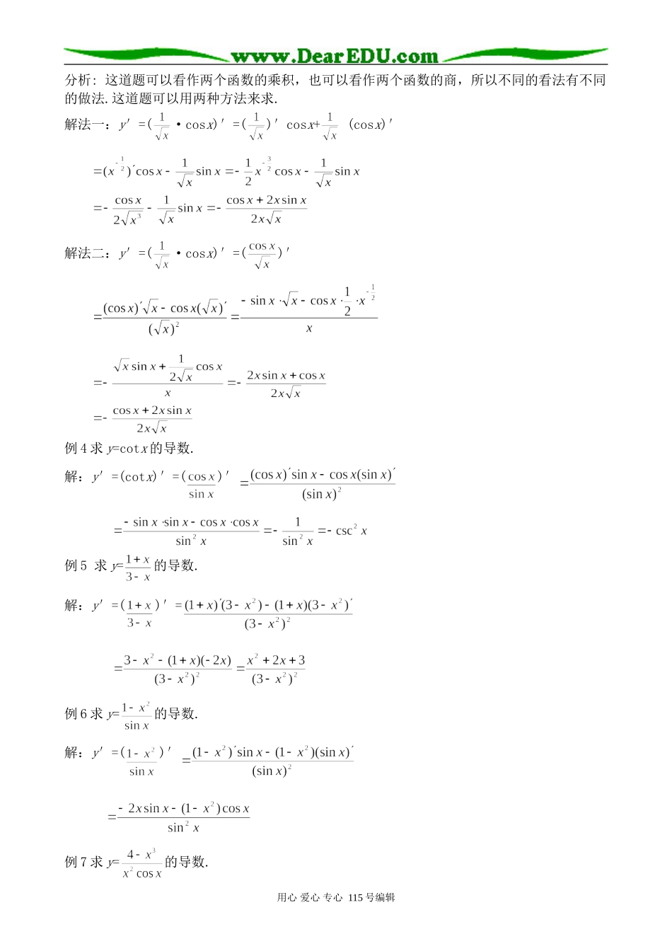
函数的和、差、积、商的导数(2)教学目的:1.理解商的导数法则,并能进行运用.2.能够综合运用各种法则求函数的导数奎屯王新敞新疆教学重点:商的导数法则.教学难点:两个函数的商的求导法则的推导.授课类型:新授课奎屯王新敞新疆课时安排:1课时奎屯王新敞新疆教具:多媒体、实物投影仪奎屯王新敞新疆教学过程:一、复习引入:1.导数的定义:设函数在处附近有定义,如果时,与的比(也叫函数的平均变化率)有极限即无限趋近于某个常数,我们把这个极限值叫做函数在处的导数,记作,即2.导数的几何意义:是曲线上点()处的切线的斜率奎屯王新敞新疆因此,如果在点可导,则曲线在点()处的切线方程为奎屯王新敞新疆3.导函数(导数):如果函数在开区间内的每点处都有导数,此时对于每一个,都对应着一个确定的导数,从而构成了一个新的函数,称这个函数为函数在开区间内的导函数,简称导数,4.可导:如果函数在开区间内每一点都有导数,则称函数在开区间内可导奎屯王新敞新疆5.可导与连续的关系:如果函数y=f(x)在点x0处可导,那么函数y=f(x)在点x0处连续,反之不成立.函数具有连续性是函数具有可导性的必要条件,而不是充分条件.6.求函数的导数的一般方法:(1)求函数的改变量奎屯王新敞新疆(2)求平均变化率奎屯王新敞新疆(3)取极限,得导数=奎屯王新敞新疆7.常见函数的导数公式:;;;奎屯王新敞新疆8.法则1.法则2,奎屯王新敞新疆二、讲解新课:法则3两个函数的商的导数,等于分子的导数与分母的积,减去分母的导数与分子的积再除以分母的平方,即用心爱心专心115号编辑证明:令,,∴因为v(x)在点x处可导,所以v(x)在点x处连续.于是当时,v(x+)v(x).∴即.说明:⑴,;⑵若两个函数可导,则它们的和、差、积、商(商的情况下分母不为0)必可导.若两个函数均不可导,则它们的和、差、积、商不一定不可导.例如,设f(x)=sinx+、g(x)=cosx-,则f(x)、g(x)在x=0处均不可导,但它们的和f(x)+g(x)=sinx+cosx在x=0处可导奎屯王新敞新疆三、讲解范例:例1求y=的导数.分析:这题可以直接利用商的导数法则.解:y′=()′=例2求y=在点x=3处的导数.分析:这题既要用到商的导数法则,还要用到和的导数法则.解:y′=()′∴y′|x=3=奎屯王新敞新疆例3求y=·cosx的导数.用心爱心专心115号编辑分析:这道题可以看作两个函数的乘积,也可以看作两个函数的商,所以不同的看法有不同的做法.这道题可以用两种方法来求.解法一:y′=(·cosx)′=()′cosx+(cosx)′解法二:y′=(·cosx)′=()′例4求y=cotx的导数.解:y′=(cotx)′=()′例5求y=的导数.解:y′=()′=例6求y=的导数.解:y′=()′例7求y=的导数.用心爱心专心115号编辑解:y′=()′四、课堂练习:1.填空:(1);(2)解:(1)∵(2)2.求下列函数的导数:(1)y=(2)y=(3)y=tanx(4)y=解:(1)y′=()′(2)y′=()′(3)y′=(tanx)′=()′用心爱心专心115号编辑(4)y′=()′=3.判断下列求导是否正确,如果不正确,加以改正.解:不正确,分母未平方,分子上正负号弄错.注意:两个函数的乘积的导数的符号是加号,两个函数的商的导数分母是原分母的平方,分子上的符号是减号奎屯王新敞新疆五、小结:这节课主要学习了商的导数法则()′=(v≠0),如何综合运用函数的和、差、积、商的导数法则,来求一些复杂函数的导数.要将和、差、积、商的导数法则记住奎屯王新敞新疆六、课后作业:奎屯王新敞新疆七、板书设计(略)奎屯王新敞新疆八、课后记:奎屯王新敞新疆用心爱心专心115号编辑

1、当您付费下载文档后,您只拥有了使用权限,并不意味着购买了版权,文档只能用于自身使用,不得用于其他商业用途(如 [转卖]进行直接盈利或[编辑后售卖]进行间接盈利)。
2、本站所有内容均由合作方或网友上传,本站不对文档的完整性、权威性及其观点立场正确性做任何保证或承诺!文档内容仅供研究参考,付费前请自行鉴别。
3、如文档内容存在违规,或者侵犯商业秘密、侵犯著作权等,请点击“违规举报”。

碎片内容

高中数学选修本(理科)函数的和、差、积、商的导数(2)

您可能关注的文档

确认删除?
VIP
微信客服
  • 扫码咨询
会员Q群
  • 会员专属群点击这里加入QQ群
客服邮箱
回到顶部