电脑桌面
添加小米粒文库到电脑桌面
安装后可以在桌面快捷访问

高中数学分数指数幂教案新人教版必修1VIP免费

高中数学分数指数幂教案新人教版必修1_第1页
1/2
高中数学分数指数幂教案新人教版必修1_第2页
2/2
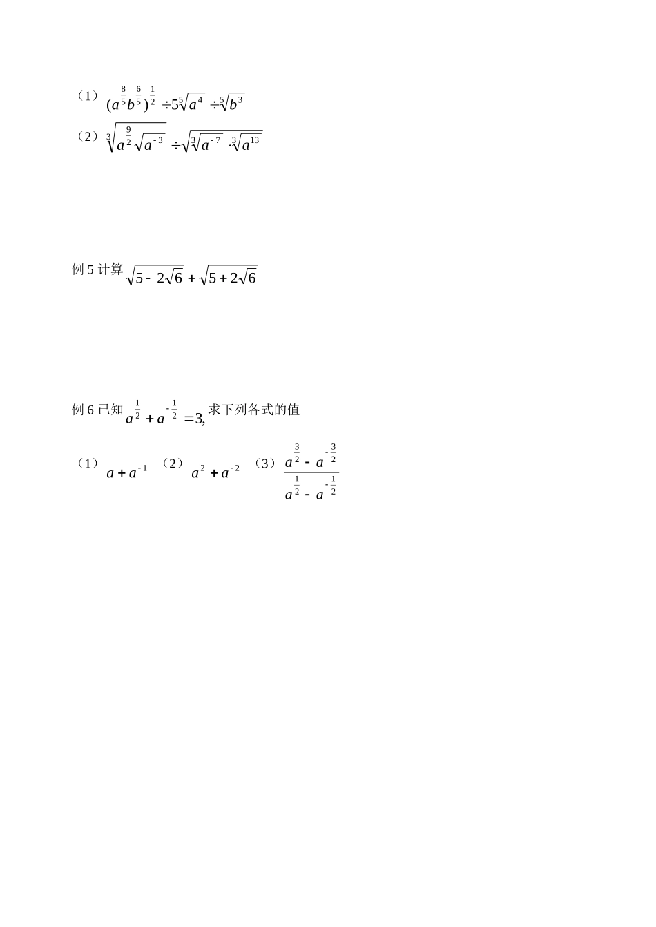
分数指数幂一知识要点1.一般地,如果一个实数x满足______________________那么,x为a的________________。2.当n为奇数时,正数的n次方根是一个,负数的n次方根是一个当n为偶数时,正数的n次方根有两个,它们是,这时正数a的正n次方根用表示,负的用表示,0的任何次方根都是,没有偶次方根。3.式子叫做根式,其中叫做根指数,叫做被开方数。4.规定正分数指数幂:nma,负分数指数幂:nma5.指数幂的性质(其中s,t∈Q,a>0,b>0)tsaa,tsa)(,tab)(二例题例1求下列各式的值(1)2)5((2)33)2((3)44)2((4)2)3((5)44)1(aa说明:_______,_______.nnnnaa例2求值(1)21100(2)328(3)239(4)43)811((5)5.02120)01.0()412(2)532(例3用分数指数幂的形式表示下列各式(a>0)(1)aa2(2)aa(3)323aa练习:P471、2、3、4例4化简(1)53542156585)(baba(2)313373329aaaa例5计算625625例6已知,32121aa求下列各式的值(1)1aa(2)22aa(3)21212323aaaa

1、当您付费下载文档后,您只拥有了使用权限,并不意味着购买了版权,文档只能用于自身使用,不得用于其他商业用途(如 [转卖]进行直接盈利或[编辑后售卖]进行间接盈利)。
2、本站所有内容均由合作方或网友上传,本站不对文档的完整性、权威性及其观点立场正确性做任何保证或承诺!文档内容仅供研究参考,付费前请自行鉴别。
3、如文档内容存在违规,或者侵犯商业秘密、侵犯著作权等,请点击“违规举报”。

碎片内容

高中数学分数指数幂教案新人教版必修1

您可能关注的文档

;绿洲书城+ 关注
实名认证
内容提供者

从事历史教学,热爱教育,高度负责。

确认删除?
VIP
微信客服
  • 扫码咨询
会员Q群
  • 会员专属群点击这里加入QQ群
客服邮箱
回到顶部