电脑桌面
添加小米粒文库到电脑桌面
安装后可以在桌面快捷访问

2019年高考数学文科二轮复习练习小题提速练2含答案VIP专享VIP免费

2019年高考数学文科二轮复习练习小题提速练2含答案_第1页
1/6
2019年高考数学文科二轮复习练习小题提速练2含答案_第2页
2/6
2019年高考数学文科二轮复习练习小题提速练2含答案_第3页
3/6
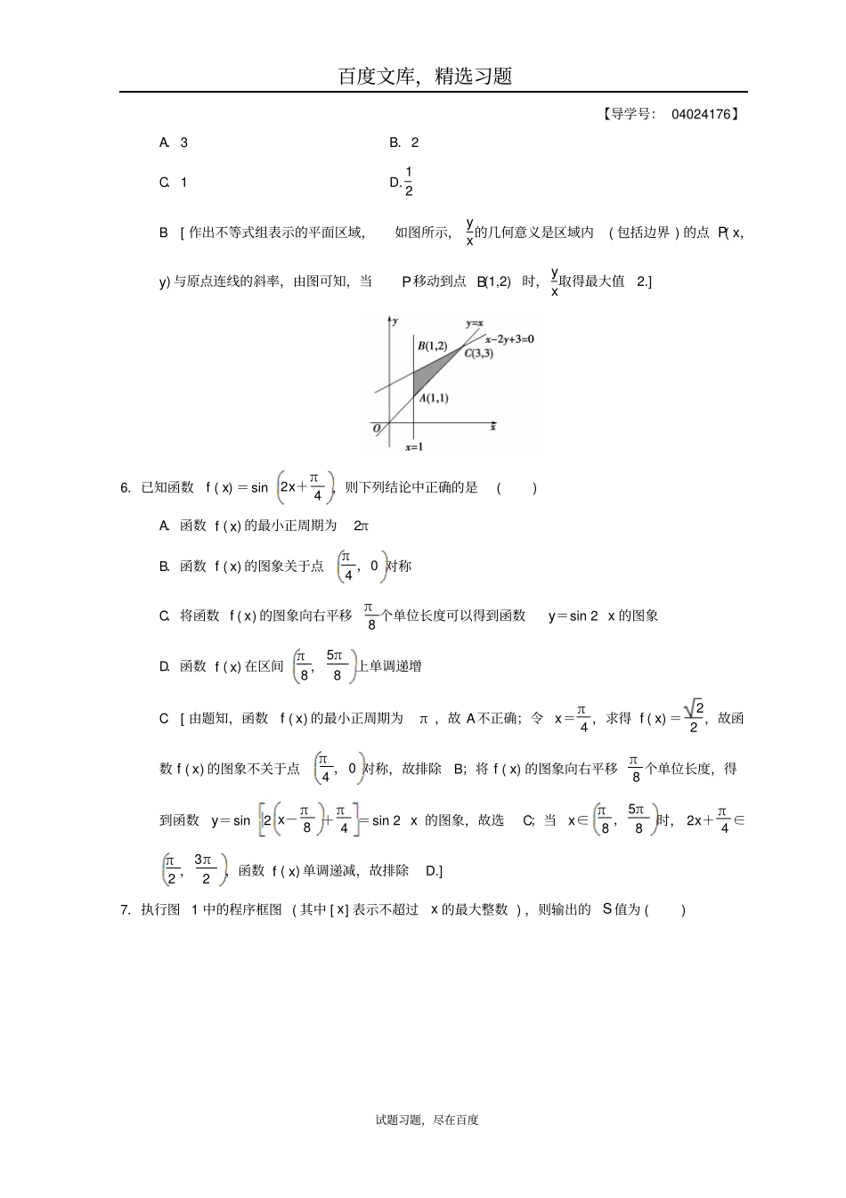
百度文库,精选习题试题习题,尽在百度小题提速练(二)“12选择+4填空”80分练(时间:45分钟分值:80分)一、选择题(本大题共12小题,每小题5分,共60分.在每小题给出的四个选项中,只有一项是符合题目要求的)1.已知集合A={x|x≥4},B={x|-1≤2x-1≤0},则(?RA)∩B=()A.(4,+∞)B.0,12C.12,4D.(1,4]B[因为A={x|x≥4},所以?RA={x|x<4},又B={x|-1≤2x-1≤0}=x0≤x≤12,所以(?RA)∩B=x0≤x≤12,故选B.]2.复数5+3i4-i对应的点在复平面的()A.第一象限B.第二象限C.第三象限D.第四象限A[因为5+3i4-i=++-+=17+17i17=1+i,所以该复数对应的点为(1,1),故选A.]3.已知命题p:x+y≥2xy,命题q:在△ABC中,若sinA>sinB,则A>B.则下列命题为真命题的是()A.pB.﹁qC.p∨qD.p∧qC[当x,y中至少有一个负数时,x+y≥2xy不成立,所以命题p是假命题;由正弦定理和三角形中的边角关系知,命题q是真命题.所以p∨q是真命题.]4.已知向量a=(2,-1),b=(-1,3),则下列向量与2a+b平行的是()A.(1,-2)B.(1,-3)C.2,23D.(0,2)C[因为a=(2,-1),b=(-1,3),所以2a+b=(3,1),而1×2-3×23=0,故选C.]5.若x,y∈R,且x≥1,y≥x,x-2y+3≥0,则z=yx的最大值为()百度文库,精选习题试题习题,尽在百度【导学号:04024176】A.3B.2C.1D.12B[作出不等式组表示的平面区域,如图所示,yx的几何意义是区域内(包括边界)的点P(x,y)与原点连线的斜率,由图可知,当P移动到点B(1,2)时,yx取得最大值2.]6.已知函数f(x)=sin2x+π4,则下列结论中正确的是()A.函数f(x)的最小正周期为2πB.函数f(x)的图象关于点π4,0对称C.将函数f(x)的图象向右平移π8个单位长度可以得到函数y=sin2x的图象D.函数f(x)在区间π8,5π8上单调递增C[由题知,函数f(x)的最小正周期为π,故A不正确;令x=π4,求得f(x)=22,故函数f(x)的图象不关于点π4,0对称,故排除B;将f(x)的图象向右平移π8个单位长度,得到函数y=sin2x-π8+π4=sin2x的图象,故选C;当x∈π8,5π8时,2x+π4∈π2,3π2,函数f(x)单调递减,故排除D.]7.执行图1中的程序框图(其中[x]表示不超过x的最大整数),则输出的S值为()百度文库,精选习题试题习题,尽在百度图1A.5B.7C.9D.12C[程序运行如下:(1)S=0+[]0=0,n=0<5;(2)S=0+[]1=1,n=1<5;(3)S=1+[2]=2,n=2<5;(4)S=2+[3]=3,n=3<5;(5)S=3+[4]=5,n=4<5;(6)S=5+[5]=7,n=5;(7)S=7+[6]=9,n=6>5,循环结束,故输出S=9.]8.某几何体的三视图如图2所示,则该几何体的体积为()【导学号:04024177】图2A.43B.52C.73D.53A[由三视图知,该几何体为一个由底面相同的三棱锥与三棱柱组成的组合体,其体积V=13×12×2×1×1+12×2×1×1=43.]9.《九章算术》是我国古代的数学名著,书中有如下问题:“今有五人分五钱,令上二人所得与下三人等,问各得几何?”其意思为“已知甲、乙、丙、丁、戊五人分5钱,甲、乙两人所得与丙丁戊三人所得相同,且甲、乙、丙、丁、戊所得依次成等差数列,问五人各得多少钱?”(“钱”是古代的一种重量单位).这个问题中,甲所得为()百度文库,精选习题试题习题,尽在百度A.54钱B.43钱C.32钱D.53钱B[设所成等差数列的首项为a1,公差为d,则依题意有5a1+5×42d=5,a1+a1+d=a1+2d+a1+3d+a1+4d,解得a1=43,d=-16.]10.在△ABC中,内角A,B,C所对的边分别为a,b,c,且a,b,c成等比数列.若sinAsinC+sin2C-sin2A=12sinBsinC,则sinA=()A.14B.34C.114D.154D[由已知得b2=ac,ac+c2-a2=12bc,所以b2+c2-a2=12bc,所以cosA=14,所以sinA=154.]11.过双曲线C:x2a2-y2b2=1(a>0,b>0)的左焦点F作一条渐近线的垂线,与C的右支交于点A.若|OF|=|OA|(O为坐标原点),则C的离心率e为()【导学号:04024178】A.2B.2C.5D.5C[不妨设一条渐近线为l:y=bxa,作FA⊥l于点B(图略),因为|OF|=|OA|,所以B为线段FA的中点.设双曲线的右焦点为F′,连接F′A,因为O为线段FF′的中点,所以F′A⊥FA.易得直线FA,F′A的方程分别为y=-ab(x+c)...

1、当您付费下载文档后,您只拥有了使用权限,并不意味着购买了版权,文档只能用于自身使用,不得用于其他商业用途(如 [转卖]进行直接盈利或[编辑后售卖]进行间接盈利)。
2、本站所有内容均由合作方或网友上传,本站不对文档的完整性、权威性及其观点立场正确性做任何保证或承诺!文档内容仅供研究参考,付费前请自行鉴别。
3、如文档内容存在违规,或者侵犯商业秘密、侵犯著作权等,请点击“违规举报”。

碎片内容

2019年高考数学文科二轮复习练习小题提速练2含答案

确认删除?
VIP
微信客服
  • 扫码咨询
会员Q群
  • 会员专属群点击这里加入QQ群
客服邮箱
回到顶部