电脑桌面
添加小米粒文库到电脑桌面
安装后可以在桌面快捷访问

求通项方法(答案)VIP免费

求通项方法(答案)_第1页
1/5
求通项方法(答案)_第2页
2/5
求通项方法(答案)_第3页
3/5
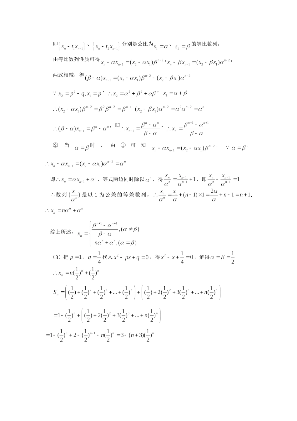
例2.设0,如图,已知直线L:y=x及曲线C:y=x2,C上的点Q1的横坐标为1(01),从C上的点Qn(n1)作直线平行X轴,交直线L于点Pn+1,再从点Pn+1作直线平行Y轴,交曲线C于点Qn+1;点Qn(n=1,2,3,…)的横坐标构成数列{n},(I)试求n+1与n的关系,并求数列{n}的通项公式。(II)、(III)两题略(2003年江苏高考第22题)分析:通过点Qn与Pn+1的纵坐标的关系、Pn+1与Qn+1横坐标的关系,建立n+1与n的递推关系式:n+1=,用配方法无法揭示规律,为降次,考虑两边取对数,从而可构造等比数列。解:由点Qn在曲线C上,则Qn(n,n2);而Qn与Pn+1纵坐标相同,且点Pn+1在直线L上,则Pn+1(,n2),因Qn+1与Pn+1横坐标相同,所以n+1=。两边取对数得:lgn+1=2lgn–lg,则由待定常数法得:lgn+1-lg=2(lgn–lg)数列{lgn–lg}是以lg1–lg为首项,公比为2的等比数列lgn–lg=(lg1–lg)2n-1n=()例5(2002年天津高考)已知是由非负整数组成的数列,满足,,。(1)求;(2)证明;(3)求的通项公式及其前项和。分析:(1);(2)将变形为,令(),则,且,两边取对数可得,①当为奇数时,,②。所以对于任意的均有,则必有。(3)略。Q2Q3Q1P1P2xOylc设n0,1=5,当n2时,n+n-1=+6,求数列的通项公式n。分析:给出的递推关系式不能反映规律性,因此考虑去分母得:2n-2n-1=7+6(n-n-1),为体现规律性,变形为:2n-2n-1-6n+6n-1=7,即(n-3)2-(n-1-3)2=7.解:由n+n-1=+6(n2)变形为:2n-2n-1=7+6(n-n-1)即(n-3)2-(n-1-3)2=7(n2)数列{}是以(1-3)2=4为首项,公差为7的等差数列=4+7(n-1)=7n-3,而n0n=+3说明:递推关系式中含有二次项、一次项时可考虑用配方法,揭示规律,构造等差(比)数列。08广东卷理科21题设为实数,是方程的两个实根,数列满足,,(…).(1)证明:,;(2)求数列的通项公式;(3)若,,求的前项和.解析:(1)由是方程的两个实根,则;故,(2)设,则,由得,消去,得,是方程的根,由题意可知,①当时,此时方程组的解记为即、分别是公比为、的等比数列,由等比数列性质可得,,两式相减,得,,,,即,②当时,由①可知,,即,等式两边同时除以,得,即数列是以1为公差的等差数列,,综上所述,(3)把,代入,得,解得例8、已知解:(法一)由得令(法二)是常数列

1、当您付费下载文档后,您只拥有了使用权限,并不意味着购买了版权,文档只能用于自身使用,不得用于其他商业用途(如 [转卖]进行直接盈利或[编辑后售卖]进行间接盈利)。
2、本站所有内容均由合作方或网友上传,本站不对文档的完整性、权威性及其观点立场正确性做任何保证或承诺!文档内容仅供研究参考,付费前请自行鉴别。
3、如文档内容存在违规,或者侵犯商业秘密、侵犯著作权等,请点击“违规举报”。

碎片内容

求通项方法(答案)

您可能关注的文档

百万精品文档+ 关注
实名认证
内容提供者

中小学学习资料教案课件

相关文档

确认删除?
VIP
微信客服
  • 扫码咨询
会员Q群
  • 会员专属群点击这里加入QQ群
客服邮箱
回到顶部