电脑桌面
添加小米粒文库到电脑桌面
安装后可以在桌面快捷访问

理论力学习题解VIP免费

理论力学习题解_第1页
1/9
理论力学习题解_第2页
2/9
理论力学习题解_第3页
3/9
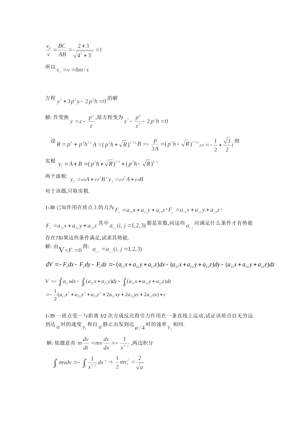
《理论力学》作业解答1-3已知曲柄,以匀角速度绕定点O转动,此曲柄借连杆AB使滑动B沿直线运动.设,,.求连杆上C点的轨道方程及速度.解:设C点的坐标为,则联立上面三式消去得整理得轨道方程设C点的速度为,即考虑A点的速度得所以1-4细杆OL绕O点以匀角速度转动,并推动小环C在固定的钢丝AB上滑动,图中的为一已知常数.试求小环的速度及加速度解:小环C的位置由坐标确定解法二:设为小环相对于AB的速度,为小环相对于OL的速度,为小环相绕O点转动的速度,则又设OL从竖直位置转过了角,则,所以,小环相对于AB的速度为,方向沿AB向右.1-10一质点沿着抛物线运动.其切向加速度的量值为法向加速度量值的倍.如此质点从正焦玄()的一端以速度出发,试求其达到正焦玄另一端时的速率.解:设条件为,,上面三式联立得两边积分,由可得在正焦玄两端点和处,,.可看出,两点处抛物线得切线斜率互为倒数,即,代入得1-15当一轮船在雨中航行时,它的雨蓬遮住篷的垂直投影后的甲板,蓬高.但当轮船停航时,甲板上干湿两部分的分界线却在蓬前,如果雨点的速率为,求轮船的速率.解:设相对于岸的速度为,雨相对于岸的速度为,雨相对于船的速度为则速度三角形与三角形ABC相似,得所以方程的解解:作变换,原方程变为设,,,则实根两个虚根:,对于该题,只取实根.1-38已知作用在质点上的力为,,其中都是常数,问这些应满足什么条件才有势能存在?如果这些条件满足,试求其势能.解:由得:1-39一质点受一与距离3/2次方成反比得引力作用在一条直线上运动,试证该质点自无穷远到达时的速度和自静止出发到达时的速率相同.解:依题意有,两边积分,再积分,可知1-43如果质点受有心力作用而作双纽线的运动时,则试证明之。解:比耐公式而代入得1-44质点所受的有心力如果为式中,及都是常数,并且,则其轨道方程可写成。试证明之。式中,,(A为积分常数)。解:比耐公式将F代入得,式中其解为式中,将基准线转动一角度,可使得2-2如自半径为为的球上,用一与球心相距为的平面,切出一球形帽,求此球形帽的质心。解:方法一球形帽可看作由许多圆薄片沿Z轴叠成,其质心坐标方法二取任一垂直于OZ轴的两平面来截球冠,截得一微圆球台近似地等于圆柱。2-3重为的人,手里拿着一个重为的物体。此人用与地平线成角的速度向前跳去。当他达到最高点时,将物体以相对速度水平向后抛出。问:由于物体的抛出,跳的距离增加了多少?解:选人与重物组成一个系统,此系统在水平方向无外力作用,水平方向动量应守恒。人在抛出重物以前,水平速度为,在最高点抛出重物之后,其水平速度变为,则人抛出重物后,做以为初速的平抛运动,比不抛重物落地点要远,增加的距离两式联立得讨论:若抛出物体时速度是相对人后来的速度即,则上面第一个方程变为结果是一个例子:人重60公斤,物重2公斤,起跳速度,抛物速度,则2-13长为的均匀细链条伸直地平放在水平光滑桌面上,其方向与桌边沿垂直,此时链条的一半从桌上下垂。起始时,整个链条是静止的。试用两种不同的方法,求此链条的末端滑到桌子的边沿时,链条的速度。解:【方法一】设链条的线密度为,则时刻下落的链条质量为,此时链条所受的重力为,根据牛顿第二定律有作变换代入上式两边积分,【方法二】设链条的线密度为,当链条往下移,重力做的功为,2—16雨滴下落时,其质量的增加率与雨滴的表面积成正比例,求雨滴速度与时间的关系。解:变质量动力学方程设水蒸气凝结在雨滴上之前在空气中的速度,代入上式得设雨滴半径的增长率为,,式中为时雨滴的半径,雨滴的质量,式中为密度其解设时,的5.1半径为的光滑半球形碗,固定在水平面上,一均质棒斜靠在碗缘,一端在碗内,一端则在碗外,在碗内的长度为,试证棒的全长为。解:如图示,主动力,由虚功原理得而讨论:对直角坐标,由虚功原理有好像不能选做广义坐标。实际上,若选做广义坐标,则广义力不是,而是平衡条件是而不是本题中,平衡方程是奇点方程,即,解之得广义坐标的定义域A,的定义域B,平衡位置在A内,但不再B内,即平衡方程是奇点方程。P359【例题5.3】轴为竖直而顶点在下的抛物线形金属丝,以匀角速度绕轴转动。一质量为的小环,套在此金属丝上,并可沿着金属丝滑动。试用正...

1、当您付费下载文档后,您只拥有了使用权限,并不意味着购买了版权,文档只能用于自身使用,不得用于其他商业用途(如 [转卖]进行直接盈利或[编辑后售卖]进行间接盈利)。
2、本站所有内容均由合作方或网友上传,本站不对文档的完整性、权威性及其观点立场正确性做任何保证或承诺!文档内容仅供研究参考,付费前请自行鉴别。
3、如文档内容存在违规,或者侵犯商业秘密、侵犯著作权等,请点击“违规举报”。

碎片内容

理论力学习题解

您可能关注的文档

文泉书屋+ 关注
实名认证
内容提供者

热爱教学事业,对互联网知识分享很感兴趣

确认删除?
VIP
微信客服
  • 扫码咨询
会员Q群
  • 会员专属群点击这里加入QQ群
客服邮箱
回到顶部