电脑桌面
添加小米粒文库到电脑桌面
安装后可以在桌面快捷访问

Matlab_多元的线性回归VIP免费

Matlab_多元的线性回归_第1页
1/10
Matlab_多元的线性回归_第2页
2/10
Matlab_多元的线性回归_第3页
3/10
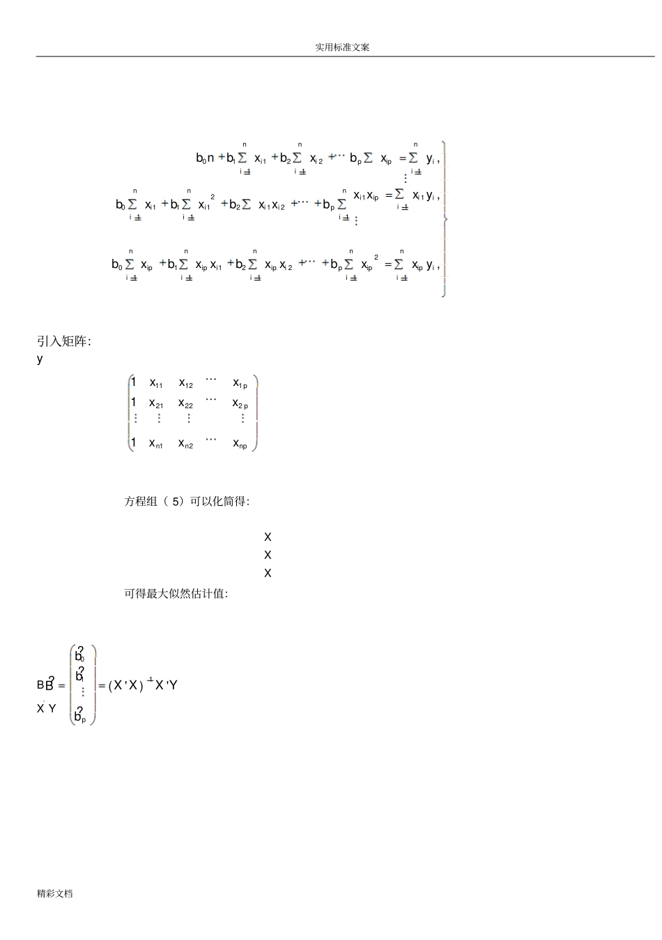
实用标准文案精彩文档1、多元线性回归Matlab多元线性回归在回归分析中,如果有两个或两个以上的自变量,就称为多元回归。事实上,一种现象常常是与多个因素相联系的,由多个自变量的最优组合共同来预测或估计因变量,比只用一个自变量进行预测或估计更有效,更符合实际。在实际经济问题中,一个变量往往受到多个变量的影响。例如,家庭消费支出,除了受家庭可支配收入的影响外,还受诸如家庭所有的财富、物价水平、金融机构存款利息等多种因素的影响,表现在线性回归模型中的解释变量有多个。这样的模型被称为多元线性回归模型。(multivariablelinearregressionmodel)多元线性回归模型的一般形式为:Yi=0+1X1i+2X2i+⋯+kXki+i,i=1,2,⋯n(1)其中k为解释变量的数目,βjj(j=1,2,⋯k)称为回归系数(regressioncoefficient)。上式也被称为总体回归函数的随机表达式。它的非随机表达式为:Yi=0+1X1i+2X2i+⋯+kXki,i=1,2,⋯nkjj也被称为偏回归系数(partialregressioncoefficient)。,2、多元线性回归计算模型Y=0+1X1+2X2+⋯+kXk+,~N(0,2)(3)(2)多元性回归模型的参数估计,同一元线性回归方程一样,也是在要求误差平方和(Σe)为最小的前提下,用最小二乘法或最大似然估计法求解参数。设(x11,x12,⋯,x1p,y1),⋯,(xn1,xn2,⋯,xnp,yn)是一个样本,用最大似然估计法估计参数:取,?0b1?b,⋯,pb?,当b0=0?b,b1=1?b,⋯,bp=pb?时,Q=21101)...(ippiniixbxbby达到最小。niijippiijniippiixxbxbbybQxbxbbybQ1011011100)(20)(2niijippiijniippiixxbxbbybQxbxbbybQ1011011100)(20)(2(4)化简可得:实用标准文案精彩文档nininininiiipippiipiipipnininiiiiipipiiiinininiiippiiyxxbxxbxxbxbyxxxbxxbxbxbyxbxbxbnb111112221101111112122111011122110,,,引入矩阵:ynpnnppxxxxxxxxx212222111211111方程组(5)可以化简得:XXX可得最大似然估计值:BYXXXbbbBp')'(????110X’Y实用标准文案精彩文档(8)pppxbxbbxxx11021),(的估计是:ppxbxbxbby?????22110公式(8)为P元经验线性回归方程。。3、Matlab多元线性回归的实现多元线性回归在Matlab中主要实现方法如下:(1)b=regress(Y,X)确定回归系数的点估计值其中X=npnnppxxxxxxxxx212222111211111,Y=pnbbbByyy1021,(2)[b,bint,r,rint,stats]=regress(Y,X,alpha)求回归系数的点估计和区间估计、并检验回归模型①bint表示回归系数的区间估计.②r表示残差③rint表示置信区间④stats表示用于检验回归模型的统计量,有三个数值:相关系数r2、F值、与F对应的概率p说明:相关系数r2越接近1,说明回归方程越显著;F>F1-alpha(p,n-p-1)时拒绝H0,F越大,说明回归方程越显著;与F对应的概率p<α时拒绝H0,回归模型成立。⑤alpha表示显著性水平(缺省时为0.05)(3)rcoplot(r,rint)画出残差及其置信区间实例1:(一元线性回归)测得16名女子的身高和腿长如下表所示(单位:cm):身高腿长身高腿长1438815596145851569814688157971479115896149921599815093160991539316210015495164102试研究这些数据之间的关系。分析:实用标准文案精彩文档x=[143,145,146,147,149,150,153,154,155,156,157,158,159,160,162,164]由式(9)可得X=[eT,xT](eT为单位列向量)y=[88,85,88,91,92,93,93,95,96,98,97,96,98,99,100,102]Y=yTMatlab程序为:/输入如下命令:/x=[143,145,146,147,149,150,153,154,155,156,157,158,159,160,162,164];y=[88,85,88,91,92,93,93,95,96,98,97,96,98,99,100,102];X=[ones(length(y),1),x'];Y=y';[b,bint,r,rint,stats]=regress(Y,X);b,bint,stats在Matlab图示所示:实用标准文案精彩文档/输出结果如图所示:/?=-16.0730,因此我们可得b0b?=0.7194.?的置信区间(33.7071,1.5612),,b0?1r2=0.9282,F=180.9531,p=0.0000.b1的置信区间(0.6047,0.834).p<0.05,回归模型y=-16.07300.7194x成立./残差分析/在Matlab命令窗口输入rcoplot(r,rint)得到残差图如图所示:实用标准文案精彩文档/预测及作图/在Matlab命令窗口输入z=b(1)+b(2)*xplot(x,Y,'k+',x,z,'r')得到预测比较图如图所示:实例2:(多元线性回归)水泥凝固时放出的热量y与水泥中的四种...

1、当您付费下载文档后,您只拥有了使用权限,并不意味着购买了版权,文档只能用于自身使用,不得用于其他商业用途(如 [转卖]进行直接盈利或[编辑后售卖]进行间接盈利)。
2、本站所有内容均由合作方或网友上传,本站不对文档的完整性、权威性及其观点立场正确性做任何保证或承诺!文档内容仅供研究参考,付费前请自行鉴别。
3、如文档内容存在违规,或者侵犯商业秘密、侵犯著作权等,请点击“违规举报”。

碎片内容

Matlab_多元的线性回归

爱的疯狂+ 关注
实名认证
内容提供者

该用户很懒,什么也没介绍

确认删除?
VIP
微信客服
  • 扫码咨询
会员Q群
  • 会员专属群点击这里加入QQ群
客服邮箱
回到顶部