电脑桌面
添加小米粒文库到电脑桌面
安装后可以在桌面快捷访问

2017高考化学完整答案VIP免费

2017高考化学完整答案_第1页
1/2
2017高考化学完整答案_第2页
2/2
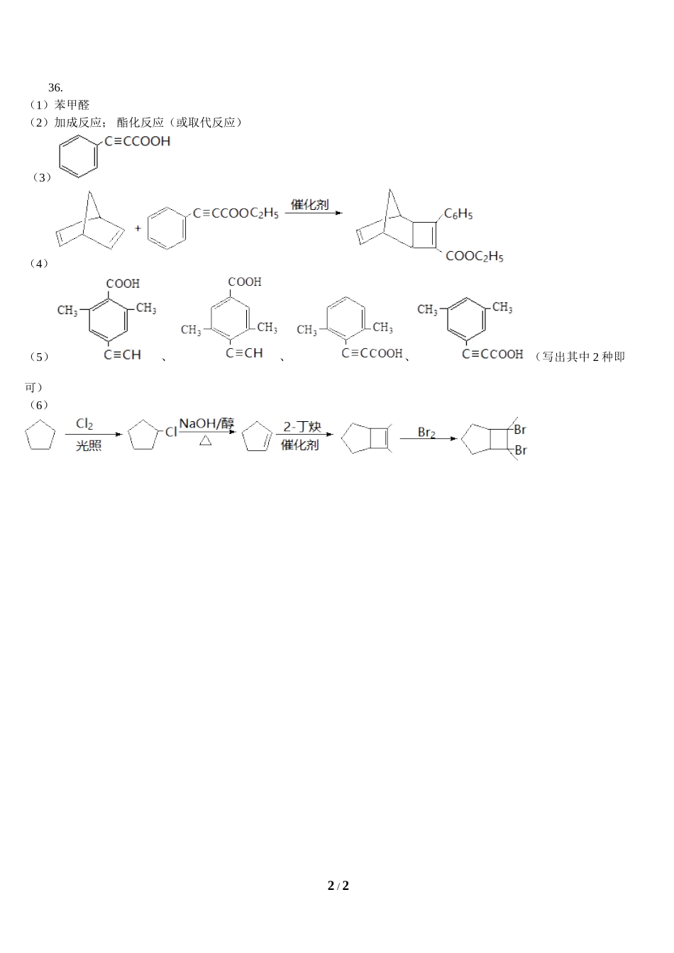
2017高考化学答案选择题78910111213ABDBCCD填空题26.(1)平衡气压(2)防止暴沸;直形冷凝管(3)装置内水蒸气降温液化,使压强变小,g中蒸馏水在大气压作用下倒吸进入c(4)①形成液封,防止氨气逸出②NH4++OH-NH3↑+H2O;保温,有利于NH4+转化为氨气逸出(5);27.(1)温度控制在100℃,“酸浸”时间为2h(2)FeTiO3+4H++4Cl-=Fe2++TiOCl42-+2H2O(3)温度升高,反应速率加快,相同时间内转化更充分。但温度超过40℃时,过氧化氢和一水合氨会受热分解,导致转化率下降。(4)4个(5)c(PO43-)=1.3×10-22/1.0×10-5=1.3×10-17mol/L,c(Mg2+)=0.02÷2=0.01mol/LK=c(Mg2+)3×c(PO43-)2=1.69×10-40<Ksp,故没有沉淀生成。(6)2FePO4+Li2CO3+H2C2O42LiFePO4+3CO2↑+H2O28.(1)D(2)H2O(l)=H2(g)+1/2O2(g)△H=+286KJ/molH2S(g)=S(s)+H2(g)△H=+20KJ/mol系统Ⅱ(3)①2.5;2.85×10-3(或)②>;>③B35.(1)A(2)N;球形;最外层电子数相等时,原子半径K>Cr,金属键K<Cr,熔沸点K<Cr。(3)V形;sp3杂化;(4)0.314;12;(5)体心;棱心1/236.(1)苯甲醛(2)加成反应;酯化反应(或取代反应)(3)(4)(5)、、、(写出其中2种即可)(6)2/2

1、当您付费下载文档后,您只拥有了使用权限,并不意味着购买了版权,文档只能用于自身使用,不得用于其他商业用途(如 [转卖]进行直接盈利或[编辑后售卖]进行间接盈利)。
2、本站所有内容均由合作方或网友上传,本站不对文档的完整性、权威性及其观点立场正确性做任何保证或承诺!文档内容仅供研究参考,付费前请自行鉴别。
3、如文档内容存在违规,或者侵犯商业秘密、侵犯著作权等,请点击“违规举报”。

碎片内容

2017高考化学完整答案

您可能关注的文档

精品中小学资料+ 关注
实名认证
内容提供者

精品文档

确认删除?
VIP
微信客服
  • 扫码咨询
会员Q群
  • 会员专属群点击这里加入QQ群
客服邮箱
回到顶部