电脑桌面
添加小米粒文库到电脑桌面
安装后可以在桌面快捷访问

分式的乘除法VIP专享VIP免费

分式的乘除法_第1页
1/2
分式的乘除法_第2页
2/2
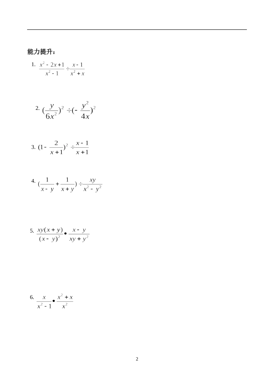
双语学校初中部八年级数学教学案课题:分式第3课时总第3课时学习目标:1.知道分式的乘除法法则,并能熟练进行分式的乘除法运算。2.能够运用分式乘除法的运算来解决生活中的实际问题。复习巩固:.分式乘分式如果得到的不是最简式,应通过什么进行化简分式除分式自学导航:试一试(1)(2)(3)(4)合作探究1能力提升:1.2.3.4.5.6.2

1、当您付费下载文档后,您只拥有了使用权限,并不意味着购买了版权,文档只能用于自身使用,不得用于其他商业用途(如 [转卖]进行直接盈利或[编辑后售卖]进行间接盈利)。
2、本站所有内容均由合作方或网友上传,本站不对文档的完整性、权威性及其观点立场正确性做任何保证或承诺!文档内容仅供研究参考,付费前请自行鉴别。
3、如文档内容存在违规,或者侵犯商业秘密、侵犯著作权等,请点击“违规举报”。

碎片内容

分式的乘除法

您可能关注的文档

教育教学文库+ 关注
实名认证
内容提供者

本店有大量的教育教学资料,课件

相关文档

相关标签

确认删除?
VIP
微信客服
  • 扫码咨询
会员Q群
  • 会员专属群点击这里加入QQ群
客服邮箱
回到顶部