电脑桌面
添加小米粒文库到电脑桌面
安装后可以在桌面快捷访问

高三数学一轮复习 三角函数章节自主测试教案 新人教版VIP免费

高三数学一轮复习 三角函数章节自主测试教案 新人教版_第1页
1/5
高三数学一轮复习 三角函数章节自主测试教案 新人教版_第2页
2/5
高三数学一轮复习 三角函数章节自主测试教案 新人教版_第3页
3/5
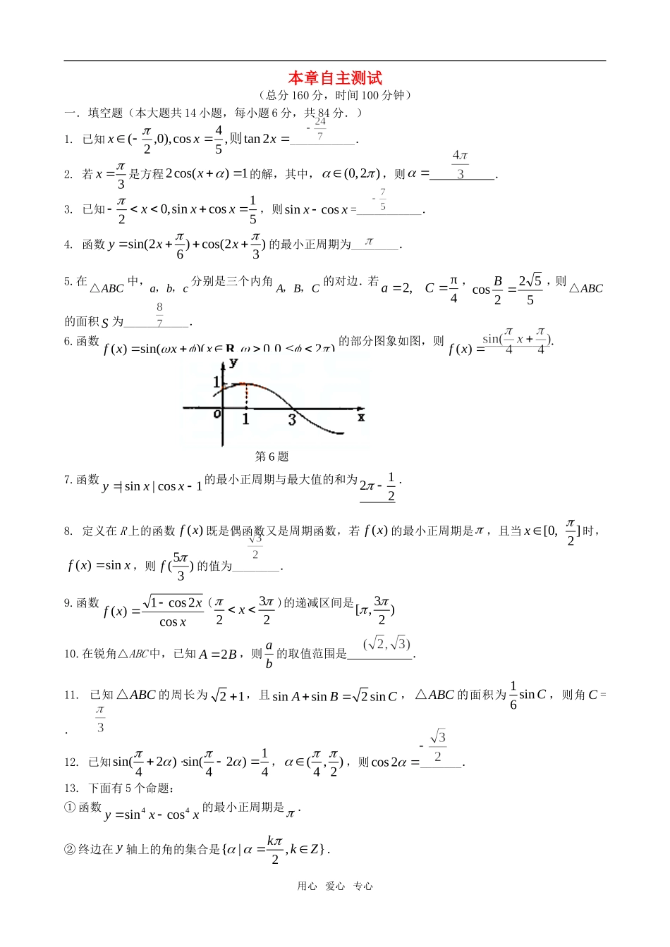
本章自主测试(总分160分,时间100分钟)一.填空题(本大题共14小题,每小题6分,共84分.)1.已知xxx2tan,54cos),0,2(则___________.2.若3x是方程2cos()1x的解,其中,(0,2),则.3.已知10,sincos25xxx,则sincosxx=___________.4.函数sin(2)cos(2)63yxx的最小正周期为________.5.在ABC△中,abc,,分别是三个内角ABC,,的对边.若4π,2Ca,5522cosB,则ABC△的面积S为___________.6.函数()sin()(,0,02)fxxxR的部分图象如图,则()fx___________.7.函数1cos|sin|xxy的最小正周期与最大值的和为122.8.定义在R上的函数)(xf既是偶函数又是周期函数,若)(xf的最小正周期是,且当]2,0[x时,xxfsin)(,则)35(f的值为________.9.函数xxxfcos2cos1)((322x)的递减区间是3[,)210.在锐角△ABC中,已知BA2,则ba的取值范围是.11.已知ABC△的周长为21,且sinsin2sinABC,ABC△的面积为1sin6C,则角C=.12.已知1sin(2)sin(2)444,(,)42,则cos2_______.13.下面有5个命题:①函数44sincosyxx的最小正周期是.②终边在y轴上的角的集合是{|,}2kkZ.用心爱心专心第6题③在同一坐标系中,函数sinyx的图象和函数yx的图象有3个公共点.④把函数3sin(2)3yx的图象向右平移6得到3sin2yx的图象.⑤函数sin()2yx在[0,]上是减函数.其中,真命题的编号是______①④_____(写出所有真命题的编号).14.如图,在ABC中,120,2,1,BACABACD是边BC上一点,2,DCBD则ADBC�__________.二.解答题(本大题共5小题,共76分.解答应写出文字说明,证明过程或演算步骤.)15.已知21)4tan(,(1)求tan的值;(2)求2cos1cos2sin2a的值。(1)解:tan1tan1tan4tan1tan4tan)4tan(由21)4tan(,有21tan1tan1,解得31tan(2)解法一:1cos21coscossin22cos1cos2sin22265213121tancos2cossin2解法二:由(1),31tan,得cos31sin∴22cos91sin22cos91cos1∴109cos2于是541cos22cos2,53cos32cossin22sin2代入得65541109532cos1cos2sin216.设锐角三角形ABC的内角ABC,,的对边分别为abc,,,2sinabA.(Ⅰ)求B的大小;(Ⅱ)求cossinAC的取值范围.用心爱心专心BACD第14题解:(Ⅰ)由2sinabA,根据正弦定理得sin2sinsinABA,所以1sin2B,由ABC△为锐角三角形得π6B.(Ⅱ)cossincossinACAAcossin6AA13coscossin22AAA3sin3A.由ABC△为锐角三角形知,02A,02C,又566CAA,5062A,32A,2336A,所以13sin232A.由此有333sin3232A,所以,cossinAC的取值范围为3322,.17.设2()6cos3sin2fxxx.(Ⅰ)求()fx的最大值及最小正周期;(Ⅱ)若锐角满足()323f,求4tan5的值.解:(Ⅰ)1cos2()63sin22xfxx3cos23sin23xx3123cos2sin2322xx23cos236x.故()fx的最大值为233;最小正周期22T.(Ⅱ)由()323f得23cos233236,故cos216.又由02得2666,故26,解得512.从而4tantan353.用心爱心专心18.已知)3tan(sin,2572cos,1027)4sin(及求.解法一:由题设条件,应用两角差的正弦公式得)cos(sin22)4sin(1027即57cossin①由题设条件,应用二倍角余弦公式得)sin(cos57)sin)(cossin(cossincos2cos25722...

1、当您付费下载文档后,您只拥有了使用权限,并不意味着购买了版权,文档只能用于自身使用,不得用于其他商业用途(如 [转卖]进行直接盈利或[编辑后售卖]进行间接盈利)。
2、本站所有内容均由合作方或网友上传,本站不对文档的完整性、权威性及其观点立场正确性做任何保证或承诺!文档内容仅供研究参考,付费前请自行鉴别。
3、如文档内容存在违规,或者侵犯商业秘密、侵犯著作权等,请点击“违规举报”。

碎片内容

高三数学一轮复习 三角函数章节自主测试教案 新人教版

您可能关注的文档

确认删除?
VIP
微信客服
  • 扫码咨询
会员Q群
  • 会员专属群点击这里加入QQ群
客服邮箱
回到顶部